HomeNotizieAssegno unico universale settembre: le tabelle INPS 2023 e le nuove soglie...

Assegno unico universale settembre: le tabelle INPS 2023 e le nuove soglie ISEE

Pubblicate le nuove tabelle INPS 2023 dell'assegno universale e le nuove soglie ISEE per richiederlo

L’Assegno Unico Universale settembre 2023 è cambiato dopo il varo della nuova legge di Bilancio 2023. Gli aumenti sono cospicui.

ANCoDiS: cosa dobbiamo aspettarci nelle prossime contrattazioni di istituto

Sulle pagine di InformazioneScuola più volte abbiamo evidenziato come l’assegno unico universale 2023 sia cambiato.
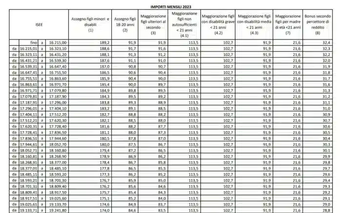
La rata di settembre 2023 ne è la dimostrazione, l’importo dell’assegno unico universale, lo noterete dalle tabelle INPS 2023 allegate, è legato all’inflazione, ma non è l’unica novità.

Le novità dell’assegno unico universale settembre 2023 non riguarderanno solo l’importo, cambiano anche le soglie Isee che determinano proporzionalmente l’importo della prestazione, e l’assegno unico di luglio 2023 lo confermerà

Assegno unico universale settembre 2023, l’aumento previsto dalla legge di bilancio

Di quanto è aumentato l’assegno unico universale 2023? L’aumento è legato all’inflazione calcolata sull’anno 2022, questo si traduce in un aumento per l’anno in corso è stato dell’8,1%.
Sottolineiamo che attualmente l’importo base è di 175 euro mensili, concesso alle famiglie con soglia Isee non superiore a 15.000 euro. Al di sopra di questo valore, l’importo diminuisce di 0,5 per ogni aumento di 100 euro del valore dell’indicatore.
Come è noto, l’importo minimo dell’assegno unico universale 2023 è di 50 euro per ogni figlio minorenne per chi però non ha un ISEE. La novità derivante dall’ adeguamento inflazionistico permetterà ai beneficiari di percepire 189 euro per Isee fino a 16.215 euro, mentre la soglia massima salirà fino a 43.240 euro, con un reddito di base universale di circa 54 euro.
Assegno unico universale settembre, tabelle INPS 2023 e nuove fasce di reddito
Le tabelle aggiornate dell’INPS settembre 2023 a conferma di quanto detto, invitiamo i lettori a scaricare dal nostro sito le nuove fasce di reddito INPS aggiornate al 2023.

Precisiamo però che in molti casi, questo meccanismo garantirà un adeguamento superiore all’8,1%. L’Isee, infatti, è calcolato sulla base della situazione dei due anni precedenti, ed è improbabile che sia aumentato allo stesso ritmo dell’inflazione nel 2022.

SBC, a settembre 2023 la scuola sarà ancora precaria

InformazioneScuola  grazie alla sua seria e puntuale informazione è stata selezionata dal servizio di  Google News , per restare sempre aggiornati sulle nostre ultime notizie seguici tramite GNEWS andando su questa pagina e cliccando il tasto segui.

Iscriviti al gruppo   Telegram: Contact @informazionescuola

 

Iscriviti alla nostra  pagina Facebook .

Seguiteci anche su  Twitter

informazione scuola telegram

Informazione Scuola, le Ultime Notizie della Scuola in un click.

POTREBBE INTERESSARTI ANCHE...

altre news