Assegno unico ed universale 2023, come è cambiato con la nuova legge di bilancio 2023? Come abbiamo già evidenziato sarà legato all’andamento dell’inflazione e le nuove soglie ISEE.
Leggi anche: Concorso dirigenti scolastici 2023, preparati con il corso selezionato dalla Redazione
Il nuovo assegno unico ed universale 2023, così come previsto dall’ultima legge di bilancio sarà legato all’inflazione. Le novità non riguarderanno solo l’importo, cambiano anche le soglie Isee che determinano proporzionalmente l’importo della prestazione.
Assegno unico universale marzo 2023, aumento previsto dalla legge di bilancio
L’aumento dell’ assegno unico universale marzo 2023 sarà dell’8,1%. Ricordiamo che attualmente l’importo base è di 175 euro mensili, concesso alle famiglie con soglia Isee non superiore a 15.000 euro. Al di sopra di questo valore, l’importo diminuisce di 0,5 per ogni aumento di 100 euro del valore dell’indicatore.
Leggi anche: Assegno unico universale 2023: le tabelle aggiornate INPS con nuovi importi e soglie ISEE
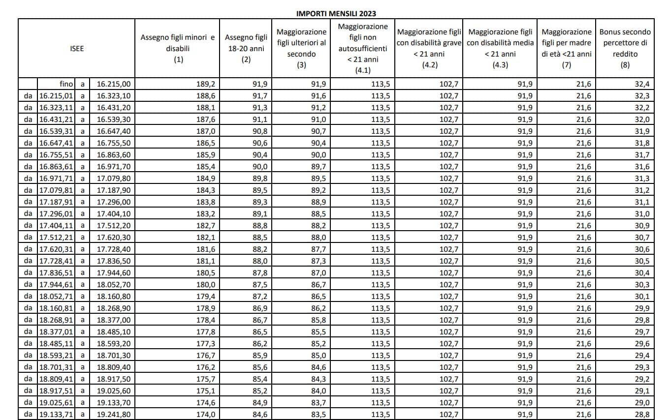
L’importo minimo è di 50 euro per ogni figlio minorenne per chi non ha un ISEE. Con il nuovo adeguamento inflazionistico, i beneficiari avranno diritto a poco più di 189 euro per Isee fino a 16.215 euro, mentre la soglia massima salirà fino a 43.240 euro, con un reddito di base universale di circa 54 euro.
Assegno unico universale marzo 2023, tabelle INPS e nuove fasce di reddito
Le tabelle aggiornate dell’INPS marzo 2023 e le fasce di reddito sono scaricabili dal nostro sito nel link che trovate qui di seguito. Ricordiamo però che in molti casi, questo meccanismo garantirà un adeguamento superiore all’8,1%. L’Isee, infatti, è calcolato sulla base della situazione dei due anni precedenti, ed è improbabile che sia aumentato allo stesso ritmo dell’inflazione nel 2022.
Consigli ai nostri lettori
Testi di preparazione al concorso per dirigente scolastico
InformazioneScuola grazie alla sua seria e puntuale informazione è stata selezionata dal servizio di Google News, per restare sempre aggiornati sulle nostre ultime notizie seguici tramite GNEWS andando su questa pagina e cliccando il tasto segui.
Seguici su Tik Tok.
Iscriviti alla nostra pagina Facebook.


