HomeNotizieAssegno unico universale 2023: le tabelle aggiornate INPS con nuovi importi e...

Assegno unico universale 2023: le tabelle aggiornate INPS con nuovi importi e soglie ISEE

Assegno unico ed universale 2023, come stabilito dall’ultima legge di Bilancio, l’importo sarà soggetto a rivalutazione in base all’andamento dell’inflazione.

Assegno unico ed universale 2023 – Secondo l’ultima legge di bilancio, il reddito di base per il 2023 sarà soggetto a aggiustamento dell’inflazione. L’aumento non interesserà solo gli importi, ma anche le soglie Isee che determinano proporzionalmente l’importo della prestazione.

Arrivano gli arretrati da rinnovo del CCNL per i precari della scuola 

L’aumento previsto sarà dell’8,1%. Attualmente l’importo base è di 175 euro mensili, concesso alle famiglie con soglia Isee non superiore a 15.000 euro. Al di sopra di questo valore, l’importo diminuisce di 0,5 per ogni aumento di 100 euro del valore dell’indicatore.

Assegno unico universale 2023, le tabelle INPS con le nuove fasce di reddito

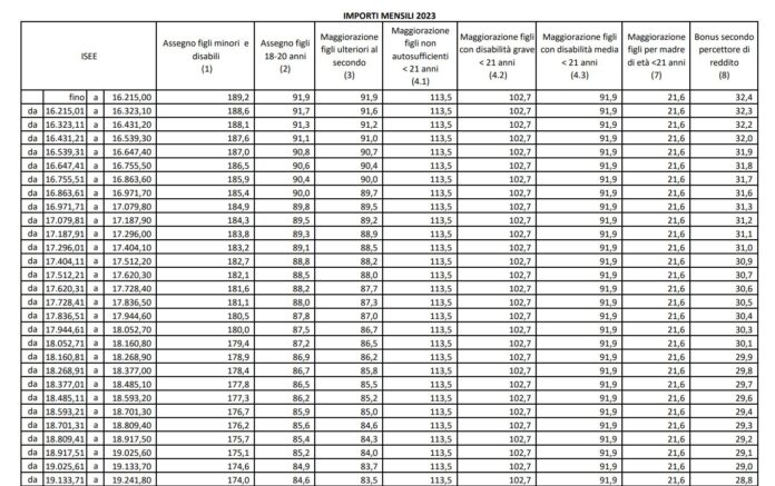
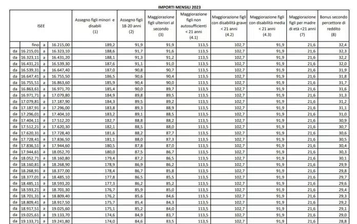
L’importo minimo è di 50 euro per ogni figlio minorenne, in assenza di Isee o con un Isee pari o superiore a 40.000 euro. Secondo Il Messaggero, con il nuovo adeguamento inflazionistico, i beneficiari avranno diritto a poco più di 189 euro per Isee fino a 16.215 euro, mentre la soglia massima salirà fino a 43.240 euro, con un reddito di base universale di circa 54 euro.

Leggi anche: L’INPS finalmente pubblica la Circolare n. 20 con l’aumento delle pensioni e gli arretrati marzo 2023  

Tuttavia, in molti casi, questo meccanismo garantirà un adeguamento superiore all’8,1%. L’Isee, infatti, è calcolato sulla base della situazione dei due anni precedenti, ed è improbabile che sia aumentato allo stesso ritmo dell’inflazione nel 2022.

Di seguito le tabelle aggiornate dell’INPS con tutti gli importi del Reddito Universale di Cittadinanza per i figli, per ciascuna fascia Isee.

Consigli ai nostri lettori

InformazioneScuola grazie alla sua seria e puntuale informazione è stata selezionata dal servizio di Google News, per restare sempre aggiornati sulle nostre ultime notizie seguici tramite GNEWS andando su questa pagina e cliccando il tasto segui.

Seguici su Tik Tok.

Iscriviti alla nostra pagina Facebook.

informazione scuola telegram

Informazione Scuola, le Ultime Notizie della Scuola in un click.

POTREBBE INTERESSARTI ANCHE...

altre news