HomeNotizieAssegno Unico Universale 2025, è possibile recuperare gli arretrati dall'INPS entro giugno

Assegno Unico Universale 2025, è possibile recuperare gli arretrati dall’INPS entro giugno

Assegno Unico 2025: Recupera gli Arretrati dall'INPS entro Giugno

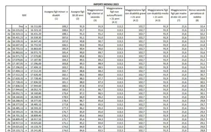
Arretrati assegno unico universale giugno 2025 – L’INPS ha recentemente comunicato che i pagamenti dell’Assegno Unico di aprile saranno effettuati dopo Pasqua, con probabile inizio il 22 aprile. Questo contributo mensile è destinato ai nuclei familiari con figli a carico fino ai 21 anni, senza limiti di età per i figli disabili. Tuttavia, molti cittadini potrebbero ricevere un importo inferiore a causa della mancata presentazione o aggiornamento dell’ISEE, necessario per calcolare l’importo corretto dell’assegno.

Arretrati e assegno unico universale giugno 2025

L’ISEE deve essere rinnovato entro il 28 febbraio di ogni anno, ma per il 2025, l’INPS offre la possibilità di presentarlo fino al 30 giugno per recuperare gli arretrati. L’importo minimo di 57,50 euro viene erogato in assenza di un ISEE aggiornato. È essenziale che i beneficiari provvedano a richiedere una nuova attestazione ISEE per evitare riduzioni nell’importo dell’assegno.

La procedura per ottenere l’ISEE è semplice e può essere effettuata online tramite il portale INPS, utilizzando SPID, CIE o CNS. In alternativa, si può ricevere assistenza presso patronati o CAF locali. Assicurarsi di avere tutta la documentazione necessaria per completare la Dichiarazione Sostitutiva Unica (DSU) e ottenere l’attestazione ISEE aggiornata.

Leggi anche:

Ripubblicazione delle GPS: cosa cambia per i docenti nell’estate 2025

NoiPA: accreditato lo stipendio di Aprile 2025, verifica il nuovo importo

Segui i canali social di InformazioneScuola

InformazioneScuola,       grazie alla sua serie e puntuale informazione è stata selezionata dal servizio di       Google News      ,       per restare sempre aggiornati sulle nostre ultime notizie seguici tramite        GNEWS      andando su questa pagina e cliccando il tasto segui. 

Iscriviti al gruppo                                Telegram: Contatta @informazionescuola

Iscriviti al gruppo                                                  WhatsApp 
Iscriviti alla nostra                                                pagina Facebook
informazione scuola telegram

Informazione Scuola, le Ultime Notizie della Scuola in un click.

POTREBBE INTERESSARTI ANCHE...

altre news