HomeNotizieMyInps, Pagamento Assegno Unico Novembre 2023: Le date, i nuovi importi e...

MyInps, Pagamento Assegno Unico Novembre 2023: Le date, i nuovi importi e i ritardi

Assegno unico universale novembre 2023, verifica i pagamenti arretrati nell'area personale MyINPS

MyInps Pagamento assegno unico novembre 2023, quando sarà accreditato l’assegno unico? Intanto proviamo a fare chiarezza ad iniziare dall’ISEE aggiornato al 2023 e alla sezione INPS, Aiuti.

MyInps e assegno unico universale novembre 2023

Alcuni contribuenti vedranno slittare il pagamento dell’Assegno unico universale a novembre 2023, ricevendolo in ritardo a causa di omissioni o difformità nell’attestazione ISEE. Chi non ha ricevuto l’assegno di settembre 2023 nel mese di ottobre, probabilmente lo riceverà solo a novembre.
Per avere però i dettagli della propria situazione è attiva una specifica sezione sul portale INPS, ovvero la sezione MyINPS. Vi si accede con le credenziali SPID o CIE.

Pagamento Assegnazione Unico universale 2023 a Novembre, verifica su MyINPS

L’INPS, con il messaggio numero 2913 del 08-08-2023, ha confermato ai beneficiari il rinvio dei pagamenti dell’Assegno unico e universale a novembre 2023 nel caso di attestazioni ISEE con omissioni o difformità. Questo rinvio è dovuto alla gestione delle domande e alle difficoltà che alcuni cittadini potrebbero incontrare nel regolarizzare la propria situazione, specialmente durante il periodo estivo.
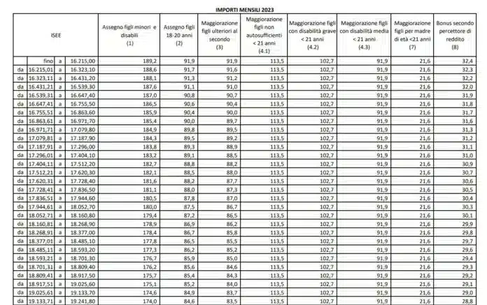
Pertanto, coloro che rientrano in questa categoria riceveranno l’Assegno Unico Universale con l’importo minimo di legge solo a partire dalla mensilità di novembre. Questa decisione offre agli interessati un periodo maggiore per effettuare la regolarizzazione dell’ISEE, seguendo le istruzioni fornite nel messaggio INPS n. 2856.

Cosa Fare se non Arriva l’Assegno Unico

Se non avete ancora ricevuto l’Assegno Unico, la prima cosa da fare è contattare il Dipartimento per le politiche della famiglia (Dipofam) o l’Istituto Nazionale di Previdenza Sociale (INPS) per ottenere spiegazioni.
È possibile contattare il Dipofam per richiedere supporto al Gruppo di lavoro per l’Assegno Unico Universale per i figli a carico all’indirizzo email dipofam@governo.it . Per contattare l’INPS, è possibile utilizzare il servizio online “Inps Risponde”, accedendo tramite SPID, CIE o CNS. In alternativa è possibile chiamare il Call Center INPS al numero verde (+39) 803 164 da rete fissa o al numero (+39) 06 164 164 da rete mobile.
Il ritardo potrebbe essere dovuto a un errore o a un problema durante la presentazione della domanda. Chiedendo aiuto, potrete verificare i requisiti e le condizioni necessarie per accedere all’Assegno Unico, individuando le informazioni che richiedono correzioni o integrazioni.

Perché nel mese di ottobre 2023 non è Arrivato l’Assegno Unico?

Le ragioni per il mancato pagamento mensile dell’Assegno Unico Universale di ottobre 2023 figli possono essere diverse ma sono generalmente legate alla gestione delle pratiche da parte dell’INPS. Quest’ultimo potrebbe essere impegnato in operazioni di conguaglio o potrebbe aver riscontrato errori o incongruenze nella domanda, che richiedono verifiche e interventi specifici, comportandosi quindi ritardi nei pagamenti.
Infine ricordiamo che con il messaggio INPS n. 2856, sono state fornite informazioni sul mancato pagamento dell’Assegno Unico in presenza di attestazione ISEE con omissioni.

Consigliamo ai nostri lettori di verificare di tanto in tanto la sezione MyInps per monitorare la propria situazione.

informazione scuola telegram

Informazione Scuola, le Ultime Notizie della Scuola in un click.

POTREBBE INTERESSARTI ANCHE...

altre news