Con l’arrivo di settembre 2025, l’INPS introduce una novità importante per le famiglie che percepiscono l’Assegno Unico. Grazie a una specifica maggiorazione, alcune categorie di lavoratori, tra cui docenti e personale ATA, potrebbero ottenere fino a 34,40 euro in più al mese.
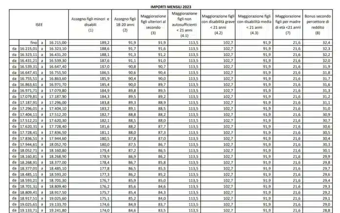
L’Assegno Unico è una misura economica destinata alle famiglie con figli a carico dal settimo mese di gravidanza fino ai 21 anni, senza limiti di età per i figli disabili. L’importo varia in base all’ISEE e può essere integrato da maggiorazioni, tra cui quella prevista per genitori entrambi lavoratori.
Aumento INPS a settembre 2025
A settembre 2025, questa maggiorazione viene riconosciuta automaticamente dall’INPS alle famiglie in cui entrambi i genitori risultano titolari di reddito da lavoro. Il beneficio si applica anche a chi riprende un impiego nel mese di riferimento, come docenti non di ruolo e personale ATA precario.
L’importo massimo della maggiorazione è pari a 34,40 euro per famiglie con un ISEE fino a 17.227,33 euro, decrescendo progressivamente con ISEE superiori. Per verificare l’applicazione dell’aumento, è sufficiente consultare il Fascicolo Previdenziale sul sito INPS.
Leggi anche:
Educazione Emotiva, Aloisio (M5S): una priorità per le scuole italiane
Servizio civile e militare per gli ATA: punteggi e precedenze
Segui i canali social di InformazioneScuola
InformazioneScuola, grazie alla sua serie e puntuale informazione è stata selezionata dal servizio di Google News , per restare sempre aggiornati sulle nostre ultime notizie seguici tramite GNEWS andando su questa pagina e cliccando il tasto segui.
Iscriviti al gruppo WhatsApp
Iscriviti alla nostra pagina Facebook


