HomeNotizieAssegno unico universale ottobre 2023: le nuove tabelle INPS e le soglie...

Assegno unico universale ottobre 2023: le nuove tabelle INPS e le soglie ISEE

Ecco le nuove tabelle INPS 2023 relative l'assegno universale e le nuove soglie ISEE per richiedere gli aumenti

L’Assegno Unico Universale ottobre 2023 è cambiato con il varo della nuova legge di Bilancio 2023. La novità è che gli importi aumentano per quasi tutti.

Chi ha ucciso la democrazia nelle scuole?

Sulle nostre pagine più volte abbiamo evidenziato come l’assegno unico universale 2023 sia cambiato.
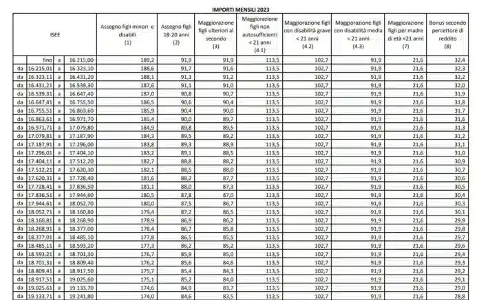
La rata di ottobre 2023 ne è la dimostrazione, l’importo dell’assegno unico universale, lo noterete dalle tabelle INPS 2023 allegate, gli aumenti degli importi sono legati all’inflazione, ma non si tratta dell’unica novità.

Le novità dell’assegno unico universale ottobre 2023 non riguarderanno solo l’importo, cambiano anche le soglie Isee che determinano proporzionalmente l’importo della prestazione, e l’assegno unico di ottobre 2023 lo confermerà.

Assegno unico universale ottobre 2023, i nuovi importi previsti dalla legge di bilancio

Di quanto è aumentato l’assegno unico universale 2023? L’aumento – come evidenziato – è legato all’inflazione calcolata sull’anno 2022, questo si traduce in un aumento dell’assegno unico di ottobre 2023 dell’8,1%, rispetto allo stesso mese dell’anno precedente.

Sottolineiamo che attualmente l’importo base è di 175 euro mensili, concesso alle famiglie con soglia Isee non superiore a 15.000 euro. Al di sopra di questo valore, l’importo diminuisce di 0,5 per ogni aumento di 100 euro del valore dell’indicatore.

Come è noto, l’importo minimo dell’assegno unico universale 2023 è di 50 euro per ogni figlio minorenne per chi però non ha un ISEE. La novità derivante dall’ adeguamento inflazionistico permetterà ai beneficiari di percepire 189 euro per Isee fino a 16.215 euro, mentre la soglia massima salirà fino a 43.240 euro, con un reddito di base universale di circa 54 euro.

Assegno unico universale ottobre 2023, tabelle INPS 2023 e nuove fasce di reddito

Le tabelle aggiornate dell’INPS ottobre  2023 a conferma di quanto detto, invitiamo i lettori a scaricare dal nostro sito le nuove fasce di reddito INPS aggiornate al 2023.

Precisiamo però che in molti casi, questo meccanismo garantirà un adeguamento superiore all’8,1%. L’Isee, infatti, è calcolato sulla base della situazione dei due anni precedenti, ed è improbabile che sia aumentato allo stesso ritmo dell’inflazione nel 2022.

Come può pensare il ministro di mettere i docenti nelle case popolari? La lettera

InformazioneScuola  grazie alla sua seria e puntuale informazione è stata selezionata dal servizio di  Google News , per restare sempre aggiornati sulle nostre ultime notizie seguici tramite GNEWS andando su questa pagina e cliccando il tasto segui.

Iscriviti al gruppo   Telegram: Contact @informazionescuola

 

Iscriviti alla nostra  pagina Facebook .

Seguiteci anche su  Twitter

informazione scuola telegram

Informazione Scuola, le Ultime Notizie della Scuola in un click.

POTREBBE INTERESSARTI ANCHE...

altre news