HomeNotizieAssegno Unico INPS, al via i pagamenti di luglio 2024, attenzione agli...

Assegno Unico INPS, al via i pagamenti di luglio 2024, attenzione agli importi

Le date di accredito dell'assegno unico di luglio 2024

L’Inps ha annunciato l’avvio dei pagamenti dell’Assegno Unico per il mese di luglio, in linea con il calendario previsto. Vediamo nel dettaglio le date di accredito, come monitorare gli importi e le novità per chi presenta la domanda da ora in poi.

Le date di pagamento dell’assegno unico luglio 2024

Secondo quanto dichiarato dall’Istituto, i pagamenti dell’Assegno Unico per i figli partiranno ufficialmente il 17 luglio per la maggior parte dei beneficiari. Nei giorni 18 e 19 saranno liquidate le ulteriori quote. Coloro che ancora non vedono l’accredito non devono preoccuparsi, in quanto le lavorazioni continueranno fino alla fine del mese.

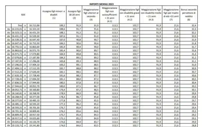
Controllare gli importi

Già da alcuni giorni, sul Fascicolo Previdenziale delle famiglie interessate compaiono le date di pagamento. Questo consente di monitorare lo stato delle elaborazioni e verificare l’importo della prima rata di luglio. Eventuali variazioni rispetto al mese precedente saranno dovute a modifiche nella documentazione ISEE trasmessa all’Inps.

Le novità per chi presenta domanda ora

Chi presenta per la prima volta domanda di Assegno Unico a partire da luglio non avrà più diritto agli assegni arretrati da marzo. Inoltre, il beneficio decorrerà dal mese successivo a quello di inoltro della richiesta e sarà calcolato in base all’ISEE al momento della presentazione. Una finestra temporale da tenere in considerazione per non perdere benefit economici.

In sintesi, l’Inps conferma il calendario prestabilito per l’erogazione della prima rata di luglio dell’Assegno Unico, fornendo utili indicazioni per monitorare l’accredito e comprendere le novità in caso di nuove istanze.

Leggi anche:

Graduatorie provvisorie ATA III fascia 2024: ecco le tappe della pubblicazione

LA SCUOLA AL SERVIZIO DELLE AZIENDE? IL M5S CRITICA LE SCELTE DI VALDITARA A FAVORE DEL PONTE DI MESSINA

Segui i canali social di InformazioneScuola

InformazioneScuola, grazie alla sua seria e puntuale informazione è stata selezionata dal servizio di   Google News    per restare sempre aggiornati sulle nostre ultime notizie seguici tramite  GNEWS  andando su questa pagina e cliccando il tasto segui. 

 

Iscriviti al gruppo    Telegram: Contatta @informazionescuola

Iscriviti al gruppo    whatsapp 

Iscriviti alla nostra  pagina Facebook

informazione scuola telegram

Informazione Scuola, le Ultime Notizie della Scuola in un click.

POTREBBE INTERESSARTI ANCHE...

altre news