HomeNotizieAssegno Unico Universale 2024, le novità e le tabelle con i nuovi...

Assegno Unico Universale 2024, le novità e le tabelle con i nuovi importi

Assegno unico universale 2024, quali le novità? Ecco tutte le anticipazione dell'assegno a sostegno delle famiglie

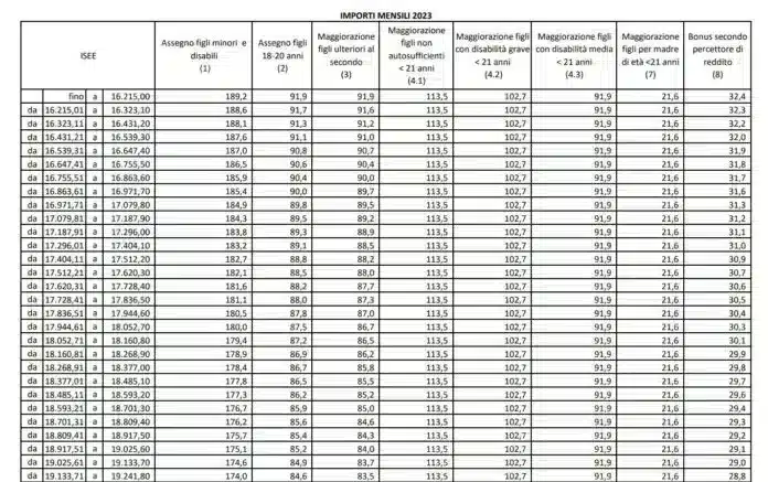
Come cambia l’assegno unico universale 2024? L’INPS dovrà emanare le nuove tabelle con i nuovi importi adeguati all’andamento dell’inflazione.

Bullismo a scuola: Occorre un approccio risolutivo e talvolta la scuola da sola non basta, specie quando si sfocia nel microcrimine

Assegno unico universale, cosa ci riserverà il 2024?

Dalle indiscrezioni raccolte il governo ha allo studio l’estensione delle maggiorazioni da parte del terzo figlio in poi alle famiglie con due figli. Altra possibile novità potrebbe essere quella di alzare da tre a quattro il numero minimo di prole per avere 150 euro in più al mese.
Le novità dell’assegno unico universale 2024 potrebbero non finire qui, si parla della possibilità di superare il limite dei 21 anni, consentendo l’Assegno Unico per i figli a carico anche oltre quell’età, soprattutto per i nuclei a reddito basso.

Novità assegno unico universale 2024

Proviamo a sintetizzare per punti tutte le possibili novità che saranno introdotte nel 2024 per l’assegno unico universale:

  • Alzare a 4 figli il requisito per avere 150€ in aggiunta sarà un aiuto per le famiglie numerose, che sostengono costi elevati. Attualmente la soglia sono 4 figli.
  • Eliminare il tetto dei 21 anni, soprattutto per redditi bassi, vuole consentire alle famiglie meno abbienti di continuare ad avere sostegno nel mantenimento dei figli anche in età post-diploma.
  • Sarà necessario rivedere di conseguenza le detrazioni fiscali, modificando l’attuale limite oltre il quale non sono previste, che coincide con il compimento dei 21 anni.

Le risorse stanziate tuttavia sono poche, occorrerà capire se basteranno a coprire le novità annunciate oppure no, una retromarcia del governo suonerebbe come l’ennesima beffa per le famiglie italiane.

Vacanze di Natale: Il ‘Salasso’ per Docenti e ATA Fuori Sede – Le Promesse del Governo Disattese?

Segui i canali social di Informazionescuola

InformazioneScuola grazie alla sua seria e puntuale informazione è stata selezionata dal servizio di Google News ,  per restare sempre aggiornati sulle nostre ultime notizie seguici tramite GNEWS andando su questa pagina e cliccando il tasto segui. 

Iscriviti al gruppo    Telegram: Contatta @informazionescuola

Iscriviti alla nostra   pagina Facebook  

Seguiteci anche su   Twitter

Seguici anche su  Pinterest

informazione scuola telegram

Informazione Scuola, le Ultime Notizie della Scuola in un click.

POTREBBE INTERESSARTI ANCHE...

altre news