HomeNotizieAssegno unico universale dicembre 2023: nuovi importi per i figli a carico,...

Assegno unico universale dicembre 2023: nuovi importi per i figli a carico, le tabelle INPS e le nuove soglie ISEE

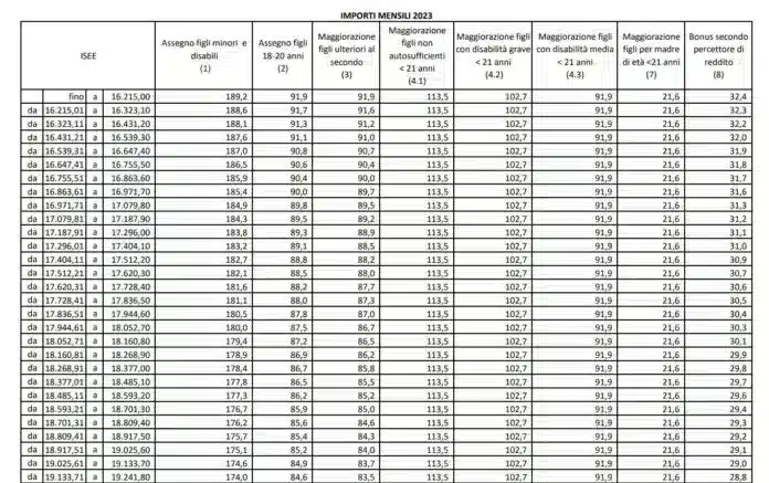
L’assegno unico universale di dicembre 2023 per i figli a carico. Pubblichiamo le nuove tabelle INPS 2023 e le nuove soglie ISEE per quantificare gli aumenti

Ecco I nuovi importi dell’Assegno Unico Universale dicembre 2023 per i figli a carico, vi mostriamo, grazie alle tabelle allegate, come sono cambiati dopo il varo della nuova legge di Bilancio 2023.

Attività Extracurricolari, gravose e tassate del 40%

Precisiamo sin da subito che gli importi aumentano per quasi tutti gli aventi diritto.
Più volte sul nostro portale, dopo la sollecitazione dei nostri lettori, abbiamo trattato questo argomento, evidenziando come l’assegno unico universale 2023 sia cambiato dopo il vado della legge di Bilancio.

La rata di dicembre 2023 ne è la dimostrazione, l’importo dell’assegno unico universale, la potete calcolare grazie alle tabelle INPS 2023 allegate in calce all’articolo. Gli aumenti degli importi sono doppiamente legati all’inflazione, ma non si tratta dell’unica novità, e all’ISEE.

Assegno unico universale dicembre 2023, nuove soglie ISEE e importi introdotti dalla legge di bilancio

Di quanto è aumentato, dopo il varo della legge di Bilancio 2023, l’assegno unico universale 2023?
L’aumento – più volte riportato su queste pagine – è legato all’inflazione calcolata sull’anno solare 2022, questo si traduce in un aumento dell’assegno unico di dicembre 2023 dell’8,1%, rispetto allo stesso mese dell’anno precedente.

I beneficiari sanno che l’importo base è di 175 euro mensili, tale cifra è però concessa alle famiglie con soglia Isee non superiore a 15.000 euro. Al di sopra di 15mila euro, l’importo diminuisce di 0,5 per ogni aumento di 100 euro del valore dell’indicatore, vedasi tabella INPS allegata.
Come è noto, l’importo minimo dell’assegno unico universale 2023 è di 50 euro per ogni figlio minorenne per chi però non ha un ISEE. La novità derivante dall’ adeguamento inflazionistico permetterà ai beneficiari di percepire 189 euro per Isee fino a 16.215 euro, mentre la soglia massima salirà fino a 43.240 euro, con un reddito di base universale di circa 54 euro.

Assegno unico universale dicembre 2023, tabelle INPS 2023 e nuove fasce di reddito

Precisiamo però che in molti casi, questo meccanismo garantirà un adeguamento dell’assegno unico universale 2023 superiore all’8,1%. L’Isee, infatti, è calcolato sulla base della situazione dei due anni precedenti, ed è improbabile che sia aumentato allo stesso ritmo dell’inflazione nel 2022.

Le tabelle aggiornate dell’INPS dicembre  2023 a conferma di quanto detto, invitiamo i lettori a scaricare dal nostro sito le nuove fasce di reddito INPS aggiornate al 2023.

SBC: su materia educazione affettività con voti, non siamo d’accordo con Paola Cortellesi

Segui i canali social di Informazionescuola

InformazioneScuola  grazie alla sua seria e puntuale informazione è stata selezionata dal servizio di Google News, per restare sempre aggiornati sulle nostre ultime notizie seguici tramite GNEWS andando su questa pagina e cliccando il tasto segui.

Iscriviti al gruppo   Telegram: Contact @informazionescuola

Iscriviti alla nostra  pagina Facebook .

Seguiteci anche su  Twitter

Seguici anche su Pinterest

informazione scuola telegram

Informazione Scuola, le Ultime Notizie della Scuola in un click.

POTREBBE INTERESSARTI ANCHE...

altre news