HomeNotizieConfermati gli aumenti dell’Assegno Unico di ottobre 2024, le tabelle aggiornate dell’INPS

Confermati gli aumenti dell’Assegno Unico di ottobre 2024, le tabelle aggiornate dell’INPS

Novità sull'assegno unico universale di ottobre 2024: scopriamo quali famiglie potranno beneficiare di maggiorazioni dell'importo a partire da ottobre 2024

Confermati gli aumenti dell’Assegno Unico di ottobre 2024, le tabelle INPS in vigore nel 2024.

L’assegno unico universale rappresenta una delle misure chiave della politica familiare italiana, avendo supportato negli ultimi mesi milioni di nuclei con figli a carico.

Secondo gli ultimi dati dell’INPS, nei primi sette mesi del 2022 sono stati erogati oltre 11 miliardi di euro, a sostegno di più di 6 milioni di famiglie per un totale di quasi 10 milioni di minori.

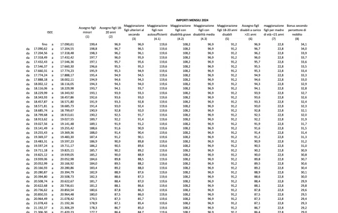
A partire da ottobre 2024, l’Istituto Nazionale di Previdenza Sociale apporterà alcune modifiche che andranno ad aumentare l’importo dell’assegno per determinate categorie. Vediamo più nel dettaglio quali sono i nuclei familiari interessati da questi aggiornamenti.

In primo luogo, è previsto un incremento per le famiglie con figli disabili, per le quali le maggiorazioni verranno adeguate in relazione alla gravità della disabilità. Aumenti anche per i genitori con figli disabili maggiorenni tra i 18 e i 20 anni.

Aumenti dell’assegno unico universale ottobre: aggiornamenti in arrivo dall’INPS, ecco le tabelle con gli aumenti

Verranno inoltre maggiorati gli assegni per i figli di età inferiore a un anno, mentre le famiglie numerose con almeno tre figli sotto i 3 anni otterranno importi più consistenti in presenza di un ISEE basso. Novità anche per le madri entro i 21 anni e per i nuclei con quattro o più figli.

Un’ulteriore agevolazione riguarderà le coppie in cui entrambi i genitori risultino occupati, con un aumento calcolato in base al valore ISEE. L’obiettivo è garantire un maggiore sostegno economico alle famiglie più fragili presenti sul territorio nazionale.

Sarà compito dell’INPS verificare automaticamente il diritto alle maggiorazioni, provvedendo a ricalcolare d’ufficio gli importi dell’assegno unico per coloro che ne avranno titolo. Non sarà necessaria alcuna domanda per beneficiare dei nuovi aumenti.

Leggi anche:

Riconoscimento del 2013, fioccano le sentenze. I docenti recuperano decine di migliaia di euro

Le famiglie non arrivano più a fine mese, gli aiuti e bonus non bastano

Segui i canali social di InformazioneScuola

InformazioneScuola, grazie alla sua seria e puntuale informazione è stata selezionata dal servizio di   Google News    per restare sempre aggiornati sulle nostre ultime notizie seguici tramite  GNEWS  andando su questa pagina e cliccando il tasto segui. 

Iscriviti al gruppo    Telegram: Contatta @informazionescuola

Iscriviti al gruppo    whatsapp 

Iscriviti alla nostra  pagina Facebook

informazione scuola telegram

Informazione Scuola, le Ultime Notizie della Scuola in un click.

POTREBBE INTERESSARTI ANCHE...

altre news