L’assegno unico universale di ottobre 2025 viene erogato dall’INPS alle famiglie e rappresenta un sostegno economico per le famiglie con figli a carico. Per il mese di ottobre 2025 l’Inps ha fornito indicazioni precise sulle date di pagamento. Stando alle comunicazioni ufficiali, i nuclei familiari che non hanno registrato modifiche nelle condizioni rispetto al mese precedente riceveranno l’importo nelle giornate del 20 e 21 ottobre. Per coloro che hanno subito variazioni, come la nascita di un nuovo figlio o modifiche nell’Isee, il pagamento sarà effettuato entro la fine dell’ultima settimana di ottobre.
Cambiano gli importi dell’assegno unico ad ottobre 2025?
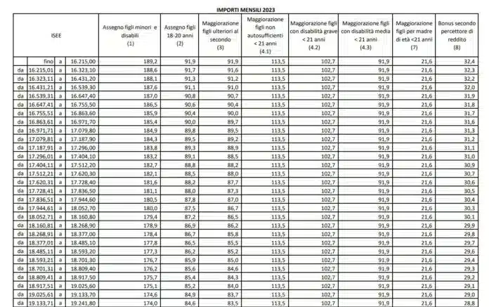
L’importo dell’assegno unico rispetto al mese precedente non dovrebbe subire variazioni, se non quelli previsti dalla tabella legata all’ISEE.
È, tuttavia, importante ricordare che chi presenta la domanda per la prima volta vedrà l’accredito alla fine del mese successivo alla richiesta. Le domande, una volta inviate, rimangono valide per gli anni successivi, salvo comunicazione di eventuali variazioni. Tuttavia, per aggiornare l’importo dell’assegno, è necessario trasmettere una nuova Dichiarazione Sostitutiva Unica (Dsu) correttamente compilata e attestata.
Per ulteriori informazioni e per presentare la Dsu precompilata, è possibile accedere al portale unico dell’Isee, dove vengono raccolti i dati essenziali per calcolare l’assegno. Una procedura semplice ma fondamentale per garantire un’erogazione corretta e puntuale.
Leggi anche:
Inclusione scolastica: l’Osservatorio Permanente affronta le sfide ancora aperte
Segui i canali social di InformazioneScuola
Iscriviti al gruppo Telegram: Contatta @informazionescuola
Iscriviti al gruppo WhatsApp
Iscriviti alla nostra pagina Facebook


