HomeNotizieAssegno unico aprile 2025, nuovi importi e arretrati, ecco le date

Assegno unico aprile 2025, nuovi importi e arretrati, ecco le date

Ritardo nell'Assegno Unico di Aprile 2025: Tutte le Informazioni

Roma, 15 aprile 2025 – L’erogazione dell’Assegno Unico di aprile 2025 subirà un ritardo a causa delle festività pasquali. Tradizionalmente versato il 20 di ogni mese, quest’anno il pagamento sarà posticipato al 22 aprile, poiché il 20 cade di domenica e il 21 è Pasquetta.

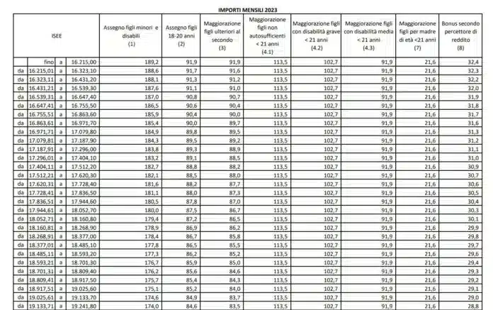
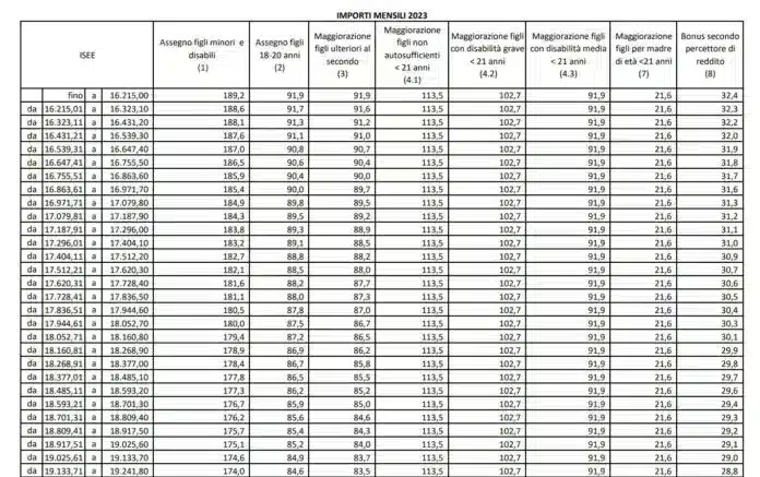
Le famiglie che hanno aggiornato l’Isee entro il 28 febbraio 2025 potrebbero beneficiare di un incremento nell’importo del contributo. L’assegno, ad esempio, per ciascun figlio minorenne potrebbe salire a 201 euro, per i figli tra i 18 e i 20 anni l’importo potrebbe raggiungere i 97,7 euro. Anche le maggiorazioni per figli con disabilità vedranno un lieve aumento.

È importante evidenziare che, in assenza di un Isee aggiornato, l’erogazione avverrà con l’importo minimo previsto. Le famiglie hanno tempo fino al 30 giugno 2025 per presentare la nuova Dichiarazione Sostitutiva Unica e ottenere eventuali arretrati.

L’Inps ha già effettuato gli adeguamenti per l’inflazione a febbraio, chiariamo quindi che ad aprile 2025 non sono previsti ulteriori ricalcoli o accrediti straordinari.

Leggi anche:

Decreto Sicurezza, multe fino a 12mila euro per chi vandalizza le scuole

Calcolo Punteggio e Graduatorie Interne: guida per il personale scolastico

Segui i canali social di InformazioneScuola

InformazioneScuola,    grazie alla sua serie e puntuale informazione è stata selezionata dal servizio di    Google News   ,    per restare sempre aggiornati sulle nostre ultime notizie seguici tramite     GNEWS   andando su questa pagina e cliccando il tasto segui. 

Iscriviti al gruppo                             Telegram: Contatta @informazionescuola

Iscriviti al gruppo                                               WhatsApp 
Iscriviti alla nostra                                             pagina Facebook
informazione scuola telegram

Informazione Scuola, le Ultime Notizie della Scuola in un click.

POTREBBE INTERESSARTI ANCHE...

altre news