HomeNotizieAssegno unico, da novembre 2024 arrivano gli aumenti, le nuove tabelle INPS

Assegno unico, da novembre 2024 arrivano gli aumenti, le nuove tabelle INPS

A novembre 2024 scattano gli aumenti INPS per l' assegno unico universale, nell’articolo evidenziamo a chi spettano le nuove agevolazioni

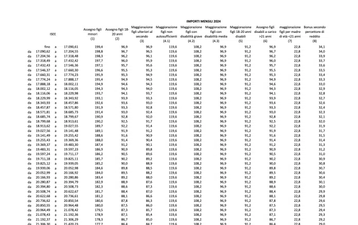
L’ Assegno unico universale (AUU) da novembre 2024 sarà più corposo per via degli aumenti, l’Inps ha, infatti, aggiornato le condizioni per ottenere le maggiorazioni degli importi dell’assegno unico universale.
L’assegno unico universale di novembre 2024, come è ormai noto a tutti, racchiude tutti gli aiuti per le famiglie. Ma non è l’unico aiuto economico, parallelamente all’importo base, commisurato all’ISEE (l’indicatore della situazione economica equivalente), l’Inps riconosce una serie di maggiorazioni destinate ad ampliare la portata in base alle specifiche situazioni economiche e lavorative delle famiglie italiane più in difficoltà.
A partire da ottobre 2024 e quindi anche a novembre e dicembre 2024, nuove categorie potranno usufruire di tali agevolazioni grazie agli aggiornamenti recentemente introdotti dall’Esecutivo.

Guida alle novità introdotte per ampliare la platea dei beneficiari dell’assegno unico di novembre 2024

Tuttavia è necessario fare un po’ di chiarezza, in primo luogo, la maggiorazione per i genitori lavoratori – finora pari a 32,40 euro al mese – verrà estesa anche ai vedovi con figli a carico, a condizione che la morte del coniuge risalga a non oltre cinque anni prima e che questi lavorasse al momento del decesso.
Un indennizzo pensato per attenuare il carico economico aggiuntivo che grava sulle famiglie monogenitoriali schiacciate dal costo della vita ormai fuori controllo.
In secondo luogo, proprio la maggiorazione dell’importo dell’assegno di novembre 2024, per chi ha figli e al tempo stesso lavora, in questo caso potrà essere richiesta da ottobre 2024 dal personale scolastico assunto a decorrere dall’inizio del nuovo anno, compresi i dipendenti delle aziende di pulizia operanti negli istituti. Si calcola che possano beneficiarne decine di migliaia di docenti e personale ATA.

Come si ottengono le maggiorazioni dell’assegno unico di novembre 2024?

Va infine ricordato che per ottenere le maggiorazioni è necessario fare domanda sul sito Inps, attraverso il servizio online dedicato o gli intermediari abilitati (CAF, patronati etc.).
Le modifiche introdotte, anche se di poco, ampliano il novero delle famiglie cui l’assegno unico offre un sostegno economico per conciliare vita professionale e impegni genitoriali.

Leggi anche:

Comitato scuola DPSE richiede una moratoria dei rigetti dei titoli esteri a supporto e salvaguardia della continuità didattica degli studenti con disabilità

Doppio Canale di Reclutamento: La Soluzione Chiave per Sconfiggere il Precariato nella Scuola Italiana

Segui i canali social di InformazioneScuola

InformazioneScuola, grazie alla sua seria e puntuale informazione è stata selezionata dal servizio di   Google News    per restare sempre aggiornati sulle nostre ultime notizie seguici tramite  GNEWS  andando su questa pagina e cliccando il tasto segui. 

 

Iscriviti al gruppo    Telegram: Contatta @informazionescuola

Iscriviti al gruppo    whatsapp 

Iscriviti alla nostra  pagina Facebook 

informazione scuola telegram

Informazione Scuola, le Ultime Notizie della Scuola in un click.

POTREBBE INTERESSARTI ANCHE...

altre news