Assegno unico giugno 2024 – L’Istituto Nazionale di Previdenza Sociale ha diffuso il calendario dei pagamenti relativi all’assegno unico per il mese di giugno, fornendo aggiornamenti utili per le famiglie italiane.
L’INPS, nel suo costante impegno di fornire chiarezza e trasparenza sui sussidi erogati, ha pubblicato le date di accredito dell’assegno unico per le diverse situazioni. Questo strumento rappresenta ormai una delle maggiori forme di sostegno economico alle famiglie con figli e, considerando l’imminente avvicinamento alla fine di maggio, è importante conoscere con precisione il calendario dei pagamenti di giugno.
Per chi già percepisce l’assegno senza variazioni reddituali, l’accredito avverrà tra il 17 e il 19 del mese. Una situazione che riguarda la maggior parte dei nuclei familiari beneficiari.
Coloro che invece presentano nuove domande o hanno effettuato modifiche all’ISEE, dovranno attendere qualche giorno in più, ovvero il bonifico arriverà tra il 24 e il 30 giugno.
Infine, per le richieste inoltrate a giugno 2024, il pagamento slitterà a luglio 2024, in quanto i tempi tecnici non consentono l’erogazione nello stesso mese della domanda.
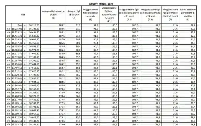
Mentre le nuove tabelle con gli importi del 2024 le potete scaricare cliccando il link in calce all’articolo.
Consigliamo infine ai nostri lettori di monitorare periodicamente la propria posizione sulla piattaforma INPS resta fondamentale per avere sempre chiaro lo stato della propria pratica e le relative scadenze. Un’informazione, quella fornita dall’Istituto, di grande valore e utilità per consentire alle famiglie di pianificare al meglio il bilancio familiare.
Le nuove tabelle dell’assegno unico giugno 2024
Leggi anche:
Vincolo quinquennale per i docenti di sostegno, chiarimenti
Segui i canali social di InformazioneScuola
Iscriviti al gruppo Telegram: Contatta @informazionescuola
Iscriviti al gruppo whatsapp
Iscriviti alla nostra pagina Facebook


