HomeNotizieAssegno unico universale 2023, attenzione all’ISEE e alle tabelle INPS

Assegno unico universale 2023, attenzione all’ISEE e alle tabelle INPS

Tutte le novità sull'assegno unico universale 2023

Al via le richieste per l’assegno unico universale 2023, la richiesta, quando non è automatica, va presentata all’INPS, l’Istituto Nazionale di Previdenza Sociale. Proprio l’INPS ha diffuso le nuove tabelle.

Per richiederlo occorre però l’ISEE del 2023, tuttavia anche l’ISEE 2022 può essere ancora utilizzabile, ma solo per richiedere e calcolare gli importi di gennaio e febbraio 2023.

Assegno unico universale marzo 2023: ecco le nuove tabelle INPS e le soglie ISEE

Una delle domande più comuni che ci pongono i nostri lettori è quali documenti occorre produrre per fare l’ISEE?

In realtà, così come abbiamo già spiegato in un articolo vi è la possibilità di richiedere l’ISEE 2023 sfruttando la procedura automatizzata con l’autodichiarazione.

Assegno unico universale 2023, le tabelle

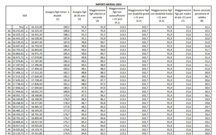
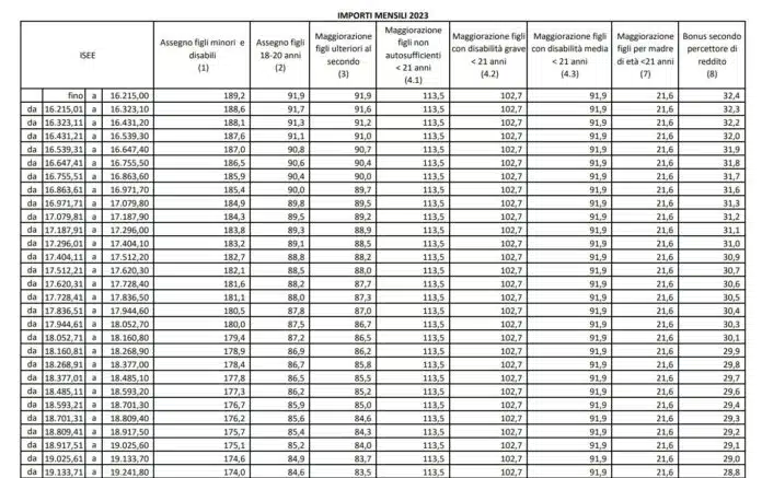
Quanto spetta alle famiglie? Per rispondere a questo interrogativo l’INPS ha diffuso proprio le tabelle relative l’assegno unico universale 2023 scaricabili dal nostro portale.

Scarica le Le tabelle aggiornate dell’INPS marzo 2023 e le fasce di reddito.

Consigli ai nostri lettori

InformazioneScuola grazie alla sua seria e puntuale informazione è stata selezionata dal servizio di Google News, per restare sempre aggiornati sulle nostre ultime notizie seguici tramite GNEWS andando su questa pagina e cliccando il tasto segui.

Seguici su Tik Tok.

Iscriviti alla nostra pagina Facebook.

 

informazione scuola telegram

Informazione Scuola, le Ultime Notizie della Scuola in un click.

POTREBBE INTERESSARTI ANCHE...

altre news