HomeNotizieAssegno unico universale aprile 2023 ecco le nuove tabelle INPS e le...

Assegno unico universale aprile 2023 ecco le nuove tabelle INPS e le nuove soglie ISEE

Pubblichiamo le nuove tabelle dell'assegno universale aprile 2023 INPS e le soglie ISEE per richiederlo.

Come è cambiato l’assegno unico ed universale 2023, come è cambiato con la nuova legge di bilancio 2023? Come abbiamo già evidenziato sarà legato all’andamento dell’inflazione e le nuove soglie ISEE, il modello peraltro è possibile aggiornarlo proprio in questi giorni.

Leggi anche: Assegno unico universale maggio 2023, ecco la tabella INPS per la simulazione dell’importo  

Il nuovo assegno unico ed universale 2023, così come previsto dall’ultima legge di bilancio sarà legato all’andamento dell’inflazione, quindi l’importo finale potrebbe variare così come prevedono le tabella INPS che abbiamo già pubblicato e che riportiamo ancora.

Come abbiamo già scritto, le novità, tuttavia, non riguarderanno solo l’importo, cambiano anche le soglie Isee 2023 che determinano proporzionalmente l’importo della prestazione.

Assegno unico universale aprile 2023, aumento previsto dalla legge di bilancio

L’aumento dell’ assegno unico universale aprile 2023 sarà dell’8,1%. Ricordiamo ai lettori di InformazioneScuola che attualmente l’importo base è di 175 euro mensili, ma la soglia ISEE per le famiglie è fissata a 15.000 euro. Al di sopra di questo valore, l’importo diminuisce di 0,5 per ogni aumento di 100 euro del valore dell’indicatore.

Leggi anche: Assegno unico universale aprile 2023, L’INPS aumenta l’importo, ma occorre fare un aggiornamento al 1° aprile  

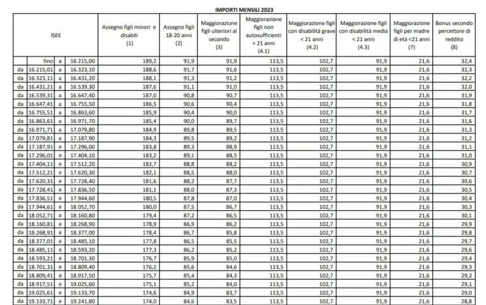
Quali sono gli importi minimi dell’assegno unico universale 2023?

L’importo minimo accreditato è di 50 euro per ogni figlio minorenne per chi non ha un ISEE. Con il nuovo adeguamento inflazionistico, i beneficiari avranno diritto a poco più di 189 euro per Isee fino a 16.215 euro, mentre la soglia massima salirà fino a 43.240 euro, con un reddito di base universale di circa 54 euro.

Assegno unico universale marzo 2023, tabelle INPS e nuove fasce di reddito: le tabelle aggiornate dell’INPS marzo 2023 e le fasce di reddito sono scaricabili dal nostro sito nel link che trovate qui di seguito. Ricordiamo però che in molti casi, questo meccanismo garantirà un adeguamento superiore all’8,1%. L’Isee, infatti, è calcolato sulla base della situazione dei due anni precedenti, ed è improbabile che sia aumentato allo stesso ritmo dell’inflazione nel 2022.

Scarica le Le tabelle aggiornate dell’INPS marzo 2023 e le fasce di reddito.

Consigli ai nostri lettori

InformazioneScuola grazie alla sua seria e puntuale informazione è stata selezionata dal servizio di Google News, per restare sempre aggiornati sulle nostre ultime notizie seguici tramite GNEWS andando su questa pagina e cliccando il tasto segui.

Seguici su Tik Tok.

Iscriviti alla nostra pagina Facebook.

informazione scuola telegram

Informazione Scuola, le Ultime Notizie della Scuola in un click.

POTREBBE INTERESSARTI ANCHE...

altre news