HomeNotizieAssegno unico universale dicembre 2023, le date e i nuovi importi, le...

Assegno unico universale dicembre 2023, le date e i nuovi importi, le nuove tabelle INPS

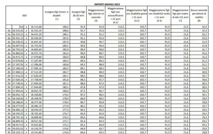
Pubblichiamo le nuove tabelle INPS valide fino a dicembre 2023 relative gli importi dell'assegno unico universale legato alle nuove soglie ISEE

Le nuove tabelle INPS permettono di calcolare l’importo dell’Assegno Unico Universale dicembre 2023. Ricordiamo che l’ammontare dell’assegno è cambiato grazie al varo della legge di Bilancio 2023, ma la nuova legge di Bilancio potrebbe portare novità significative anche per l’assegno unico del 2024.

Delle possibili novità ne daremo notizia prossimamente con un articolo di approfondimento.
Oggi invece ci occupiamo della rata di dicembre 2023, l’ultima per quest’anno.

L’importo dell’assegno unico universale, che noterete dalle tabelle INPS 2023 allegate, cambia rispetto a quello dello scorso anno.

Le novità dell’assegno unico di dicembre 2023 riguarderanno solo l’importo, cambiano anche le soglie Isee che determinano, proporzionalmente, anche l’importo della prestazione, e l’assegno unico di dicembre 2023 lo confermerà.

Assegno unico universale dicembre 2023, i nuovi importi dell’ultimo mese dell’anno

L’assegno unico universale di dicembre 2023 di quanto aumenta?

La risposta la trovate nelle tabelle INPS allegate in calce all’articolo, tuttavia facciamo notare che l’aumento dell’importo è legato all’inflazione calcolata sulla media dello scorso anno, il 2022.

In soldoni si traduce in un aumento dell’assegno unico di dicembre 2023 dell’8,1%, rispetto allo stesso mese dello scorso anno.

Per i calcoli vi rimandiamo alle tabelle INPS

Precisiamo però che l’importo minimo dell’assegno unico universale 2023 è di 50 euro per ogni figlio minorenne per chi però non ha un ISEE. La novità derivante dall’ adeguamento inflazionistico permetterà ai beneficiari di percepire 189 euro per Isee fino a 16.215 euro, mentre la soglia massima salirà fino a 43.240 euro, con un reddito di base universale di circa 54 euro.

Assegno unico universale dicembre 2023, tabelle INPS 2023 e nuove fasce di reddito

Le tabelle aggiornate dell’INPS novembre  2023 a conferma di quanto detto, invitiamo i lettori a scaricare dal nostro sito le nuove fasce di reddito INPS aggiornate al 2023.

Precisiamo però che in molti casi, questo meccanismo garantirà un adeguamento superiore all’8,1%. L’Isee, infatti, è calcolato sulla base della situazione dei due anni precedenti, ed è improbabile che sia aumentato allo stesso ritmo dell’inflazione nel 2022.

Segui i canali social di Informazionescuola

InformazioneScuola  grazie alla sua seria e puntuale informazione è stata selezionata dal servizio di Google News, per restare sempre aggiornati sulle nostre ultime notizie seguici tramite GNEWS andando su questa pagina e cliccando il tasto segui.

Iscriviti al gruppo   Telegram: Contact @informazionescuola

Iscriviti alla nostra  pagina Facebook .

Seguiteci anche su  Twitter

informazione scuola telegram

Informazione Scuola, le Ultime Notizie della Scuola in un click.

POTREBBE INTERESSARTI ANCHE...

altre news