Il 2023 è stato un anno di grandi cambiamenti per il welfare italiano, con l’introduzione dell’Assegno Unico Universale (AUU).
Leggi anche
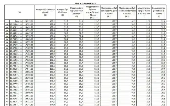
Scarica le tabelle aggiornate dell’INPS giugno 2023 e le fasce di reddito.
Il nuovo sistema di sostegno alle famiglie, introdotto dal Governo con la Legge di Bilancio 2023, ha l’obiettivo di semplificare il sistema di aiuti economici alle famiglie e di garantire una maggiore equità sociale.
L’Assegno Unico Universale, infatti, sostituisce gli assegni familiari, il bonus bebè e il bonus mamma domani, creando un unico strumento di sostegno alle famiglie con figli minori o disabili a carico. L’assegno viene erogato mensilmente dall’INPS e il suo importo varia in base all’ISEE (Indicatore della Situazione Economica Equivalente) del nucleo familiare.
Per il mese di giugno 2023, l’INPS ha pubblicato le date di pagamento dell’AUU e le nuove tabelle degli importi aggiornati in base all’ISEE. Le famiglie che hanno presentato domanda per l’AUU e che hanno diritto al sostegno economico, potranno ricevere il pagamento nelle seguenti date:
- 9 giugno 2023: per i nuclei familiari con ISEE fino a 10.632 euro
- 11 giugno 2023: per i nuclei familiari con ISEE compreso tra 10.633 e 12.918 euro
- 13 giugno 2023: per i nuclei familiari con ISEE compreso tra 12.919 e 15.600 euro
- 16 giugno 2023: per i nuclei familiari con ISEE compreso tra 15.601 e 19.000 euro
- 18 giugno 2023: per i nuclei familiari con ISEE compreso tra 19.001 e 25.000 euro
- 20 giugno 2023: per i nuclei familiari con ISEE compreso tra 25.001 e 35.000 euro
- 23 giugno 2023: per i nuclei familiari con ISEE compreso tra 35.001 e 50.000 euro
- 25 giugno 2023: per i nuclei familiari con ISEE superiore a 50.000 euro
Importo assegno unico universale 2023, la tabella INPS con gli aumenti
L’importo dell’Assegno Unico Universale 2023 varia in base all’ISEE e al numero di figli a carico. Ad esempio, per un nucleo familiare con un solo figlio a carico e con un ISEE fino a 10.632 euro, l’importo dell’assegno sarà di 171 euro al mese. Per un nucleo familiare con tre figli a carico e con un ISEE fino a 10.632 euro, l’importo dell’assegno sarà di 508 euro al mese.
Le nuove tabelle dell’INPS, inoltre, prevedono anche un bonus aggiuntivo per le famiglie con figli disabili a carico, che potranno ricevere un importo supplementare tra i 70 e i 250 euro al mese, a seconda del grado di disabilità del figlio.
Leggi anche: Online il cedolino pensione giugno 2023, verifica gli aumenti INPS
L’introduzione dell’Assegno Unico Universale rappresenta un importante passo avanti nella lotta alla povertà e nella promozione dell’equità sociale. Grazie a questo nuovo strumento di sostegno alle famiglie, sarà possibile garantire un aiuto concreto a tutti coloro che ne hanno bisogno, semplificando al contempo il sistema di aiuti economici alle famiglie.
Consigli ai nostri lettori per essere aggiornati in tempo reale
Prova gratuitamente Kindle e leggi libri gratis per trenta giorni
InformazioneScuola grazie alla sua seria e puntuale informazione è stata selezionata dal servizio di Google News, per restare sempre aggiornati sulle nostre ultime notizie seguici tramite GNEWS andando su questa pagina e cliccando il tasto segui.
Seguiteci anche su Twitter


