HomeNotizieAssegno unico universale maggio 2024 i nuovi scaglioni Isee che danno diritto...

Assegno unico universale maggio 2024 i nuovi scaglioni Isee che danno diritto all’aumento

A Maggio 2024 aumentano gli importi dell’assegno unico universale, ma occorre aggiornare l’ISEE.

La nuova tabella degli importi dell’assegno unico universale di maggio 2024 è legato all’ISEE, ecco perché va aggiornato. In questo modo si potrà capire a quale scaglione dell’Indicatore della Situazione Economica Equivalente per poi avere l’aumento dell’importo dell’Assegno unico maggio 2024.

Leggi anche: Stipendio scuola 2025, confermato il taglio del cuneo fiscale, ma c’è il trucco

Fino a quando si ha diritto all’assegno unico universale?

L’assegno unico universale viene riconosciuto a chi ha figli fino ai 21 anni ma solo se studiano o se seguono corsi di formazione, fanno tirocini, sono disoccupati o svolgono il servizio civile. Nessun limite di età è previsto per chi ha invece figli con disabilità.

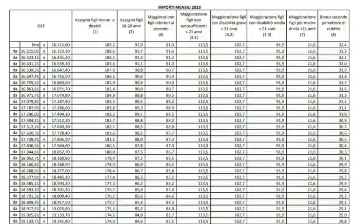
Gli scaglioni Isee e l’aumento dell’assegno unico maggio 2024

La nuova tabella maggio 2024 delle fasce dell’assegno unico universale ha uno scaglione base fino a un Isee di 17.090,61 euro.

Scarica Le tabelle aggiornate dell’INPS aprile 2024 e le fasce di reddito.

Questa fascia di reddito ISEE consente alle famiglie di ricevere un assegno unico di 199,40 euro, se hanno in famiglia figli disabili vanno aggiunte le maggiorazioni previste dalla legge.

Chi invece appartiene alla fascia ISEE più alta di 45.574,96 euro per un contributo che sale da 54,10 a 57,20 euro per effetto dell’aumento previsto dalla legge di Bilancio 2024.
A maggio 2024 l’accredito dell’assegno unico universale avverrà dal giorno 15 al giorno 17.

Leggi anche: Allarme di Bini Smaghi: le previsioni di crescita troppo ottimistiche nel Def potrebbero portare a tagli e tasse

Segui i canali social di InformazioneScuola

InformazioneScuola grazie alla sua seria e puntuale informazione è stata selezionata dal servizio di   Google News  ,     per restare sempre aggiornati sulle nostre ultime notizie seguici tramite  GNEWS  andando su questa pagina e cliccando il tasto segui. 

 

Iscriviti al gruppo    Telegram: Contatta @informazionescuola

Iscriviti al gruppo    whatsapp 

Iscriviti alla nostra  pagina Facebook 

informazione scuola telegram

Informazione Scuola, le Ultime Notizie della Scuola in un click.

POTREBBE INTERESSARTI ANCHE...

altre news