HomeNotizieBuone notizie per molte famiglie: in arrivo gli arretrati dell'Assegno Unico 2024

Buone notizie per molte famiglie: in arrivo gli arretrati dell’Assegno Unico 2024

Arretrati dell'assegno unico universale, in arrivo per molte famiglie, ma non per tutte

In arrivo gli arretrati dell’Assegno Unico 2024 – Molte famiglie riceveranno presto una gradita sorpresa sul loro conto corrente. L’INPS ha infatti comunicato che erogherà gli arretrati dell’Assegno Unico a coloro che ne hanno diritto. Questa decisione permetterà di correggere eventuali errori del passato e garantire a tutti i beneficiari il sostegno economico a cui hanno diritto.

Il fascicolo previdenziale per verificare lo stato dei pagamenti

Per capire se si ha diritto agli arretrati e a quali mensilità essi si riferiscono è necessario verificare lo stato dei pagamenti sulla propria area riservata del sito INPS. Accedendo al fascicolo previdenziale e selezionando la voce “Pagamenti”, si potrà controllare tutte le erogazioni ricevute, incluse quelle relative alle mensilità precedenti di marzo, aprile e, in alcuni casi, anche ottobre e novembre 2022.

Chi riceverà gli arretrati dell’Assegno Unico 2024

Gli arretrati saranno versati a coloro che hanno presentato domanda nel mese di aprile 2022 e hanno già ricevuto esito positivo. Questi riceveranno anche le somme dovute per i mesi di marzo e aprile, probabilmente entro il 15 maggio. Inoltre, l’INPS provvederà a pagare le rate non corrisposte di ottobre e novembre per tutti gli aventi diritto.

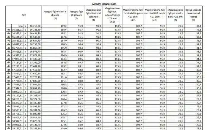
L’importanza dell’ISEE per determinare l’ammontare

L’Assegno Unico, ricordiamo, spetta per ogni figlio a carico sotto i 21 anni ed è modulato in base all’ISEE familiare, variando da 175 euro per ISEE bassi a 50 euro senza ISEE. Presentare l’indicatore è utile per ricevere il giusto importo mensile, ma non è obbligatorio in fase di domanda.

Un aiuto fondamentale per le famiglie italiane

Nonostante alcuni ritardi iniziali, l’Assegno Unico rappresenta un sostegno economico essenziale per milioni di famiglie. La corretta gestione degli arretrati permetterà a molte di esse di ricevere quanto dovuto sin dall’introduzione del beneficio.

Leggi anche:

Immissione in ruolo docenti 2024/25, i posti vacanti dopo i trasferimenti

Presunte false certificazioni per scalare le graduatorie ATA: 41 imputati a processo per frode

Segui i canali social di InformazioneScuola

InformazioneScuola grazie alla sua seria e puntuale informazione è stata selezionata dal servizio di   Google News    per restare sempre aggiornati sulle nostre ultime notizie seguici tramite  GNEWS  andando su questa pagina e cliccando il tasto segui. 

 

Iscriviti al gruppo    Telegram: Contatta @informazionescuola

Iscriviti al gruppo    whatsapp 

Iscriviti alla nostra  pagina Facebook

informazione scuola telegram

Informazione Scuola, le Ultime Notizie della Scuola in un click.

POTREBBE INTERESSARTI ANCHE...

altre news