HomeNotiziePagamenti Assegno Unico agosto 2025, arretrati e date di accredito

Pagamenti Assegno Unico agosto 2025, arretrati e date di accredito

Scopri le date, gli importi e gli aggiornamenti per il pagamento dell’Assegno Unico Universale figli ad agosto 2025.

L’INPS ha ufficializzato il calendario dei pagamenti dell’Assegno Unico Universale figli per il mese di agosto 2025. Per i nuclei familiari senza variazioni reddituali o anagrafiche, le erogazioni saranno effettuate il 20 e il 21 agosto. In caso di cambiamenti (ISEE aggiornato, nascita, separazione, decesso), i pagamenti verranno effettuati nell’ultima settimana del mese. Le domande presentate ad agosto riceveranno il primo pagamento entro la fine di settembre.

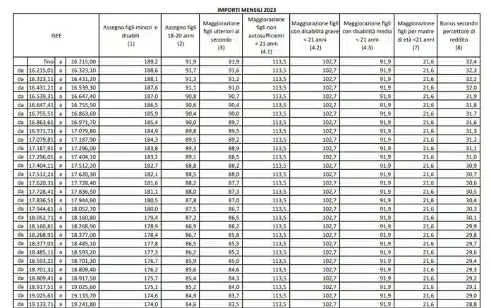
Gli importi, calcolati sulla base dell’ISEE aggiornato, variano da un minimo di 58,60 euro a un massimo di 201,0 euro per figlio, con un incremento dello 0,8% rispetto al 2024. Per garantire l’importo corretto, è necessario aggiornare l’ISEE entro il 28 febbraio.

I beneficiari possono verificare lo stato del pagamento accedendo all’area riservata MyINPS con SPID, CIE o CNS. Inoltre, l’INPS offre un simulatore online per calcolare l’importo teorico dell’assegno mensile. Questo strumento consente di ottenere una stima basata su numero di figli, età, valore ISEE e condizioni particolari.

Rimanere aggiornati è fondamentale per ottimizzare i benefici dell’Assegno Unico Universale.

Leggi anche:

Ombre sul Concorso Dirigenti Scolastici in Calabria: Scatta la Querela?

Disparità nelle GPS: il Ministero dell’Istruzione ancora silente sull’interrogazione parlamentare relativa ai docenti ITP specializzati con TFA

Segui i canali social di InformazioneScuola

InformazioneScuola,                      grazie alla sua serie e puntuale informazione è stata selezionata dal servizio di                       Google News                      , per restare sempre aggiornati sulle nostre ultime notizie seguici tramite GNEWS andando su questa pagina e cliccando il tasto segui. 

Iscriviti al gruppo                              Telegram: Contatta @informazionescuola 

Iscriviti al gruppo                                                                     WhatsApp
Iscriviti alla nostra                                                             pagina Facebook
informazione scuola telegram

Informazione Scuola, le Ultime Notizie della Scuola in un click.

POTREBBE INTERESSARTI ANCHE...

altre news