A quanto ammonta l’assegno unico INPS marzo 2024, perché è importante aggiornare l’ISEE per non vederselo ridurre? Sono alcune delle domande che i nostri lettori ci fanno ogni giorno.
Il M5S contro la ministra Bernini: la smetta di litigare con sé stessa ed ascolti i laureandi
L’assegno unico INPS marzo 2024 sarà accreditato nelle seguenti date: 18, 19 e 20 marzo 2024.
Sono questi i giorni da cerchiare in rosso sul calendario del mese di marzo 2024.
A marzo inoltre sarà pagato, oltre all’assegno unico universale 2024, anche l’assegno di inclusione e la Naspi.
Leggi anche: Pensioni INPS aprile 2024: gli aumenta e il calendario dei pagamenti
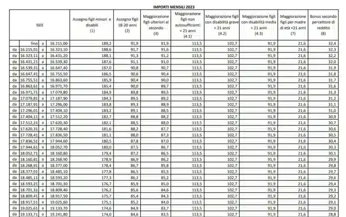
Assegno unico INPS marzo 2024, la tabella con i nuovi importi
Nei giorni scorsi l’INPS ha diramato le tabelle con gli importi dell’assegno unico del 2024. Tabella che trovate a corredo dell’articolo e scaricabile in formato pdf.
Dunque ricapitolando a marzo 2024 l’INPS erogherà: l’Assegno Unico ed Universale, l’Assegno di Inclusione, del Supporto formazione lavoro e della Naspi ovviamente già da domani anche le pensioni.
Pagamento Assegno di Inclusione e Supporto formazione lavoro marzo 2024, le date
A marzo, come abbiamo già sottolineato, oltre all’assegno unico universale 2024, sarà accreditato l’ex reddito di cittadinanza ora assegno di inclusione e supporto formazione lavoro.
L’assegno di inclusione sarà però erogato solo alle persone che hanno firmato il Patto di Attivazione Digitale (PAD) in questo mese – previa partecipazione al percorso personalizzato di inclusione sociale e lavorativa – sarà versato dal 15 marzo prossimo.
Invece il pagamento del sussidio SFL (Supporto per la Formazione e il Lavoro) sarà erogato dal 15 marzo ma per le domande pervenute nel corso del mese di febbraio, ma dopo il 15, oppure dal prossimo 27 marzo per le richieste effettuate entro il 15 di marzo stesso, ed accolte.
Tabelle INPS con i nuovi importi dell’assegno unico universale 2024


