HomeNotizieAssegno unico luglio 2024, nuovi importi e date dei pagamenti INPS, le...

Assegno unico luglio 2024, nuovi importi e date dei pagamenti INPS, le tabelle

Quando arrivano i nuovi importi dell’ assegno unico di luglio 2024? Le scadenze per continuativi, nuove domande e variazioni, tutte le informazioni e le nuove tabelle INPS del 2024

Assegno unico luglio 2024, le nuove tabelle – LINPS, l’Istituto Nazionale di Previdenza Sociale, ha reso noto il calendario dei pagamenti relativi all’ assegno unico per il mese di luglio, fornendo ulteriori aggiornamenti per le famiglie italiane.

L’INPS, allo scopo di fornire informazioni chiare e trasparenti per gli italiani circa i sussidi erogati, ha pubblicato le date di accredito dell’assegno unico di luglio 2024 con le relative variazioni.

Assegno unico universale luglio 2024, nuovi importi e pagamenti INPS

Ricordiamo che questo strumento rappresenta ormai una delle maggiori forme di sostegno economico alle famiglie con figli e, vista l’inflazione galoppante e le spese legate alle vacanze estive, è utile conoscere con precisione il calendario dei pagamenti del mese di luglio 2024.

Per chi già percepisce l’ assegno senza variazioni reddituali, l’accredito avverrà tra il 17 e il 19 del mese. Una situazione che riguarda la maggior parte dei nuclei familiari beneficiari.

Coloro che invece presentano nuove domande o hanno effettuato modifiche all’ISEE, dovranno attendere qualche giorno in più, ovvero il bonifico arriverà tra il 24 e il 30 luglio.

Infine, per le richieste inoltrate a luglio 2024, il pagamento slitterà ad agosto 2024, in quanto i tempi tecnici non consentono l’erogazione nello stesso mese della domanda.
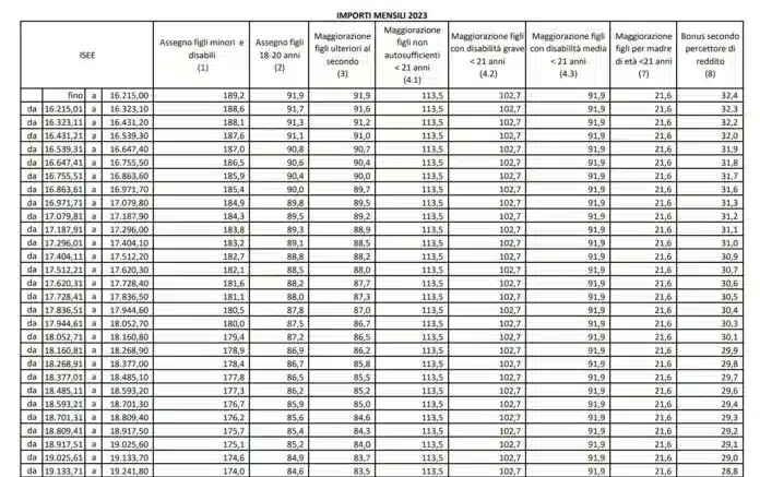
Mentre le nuove tabelle con gli importi del 2024 le potete scaricarle cliccando il link in calce all’articolo.

Consigliamo infine ai nostri lettori di monitorare periodicamente la propria posizione sulla piattaforma INPS resta fondamentale per avere sempre chiaro lo stato della propria pratica e le relative scadenze.

Un’informazione, quella fornita dall’Istituto, di grande valore e utilità per consentire alle famiglie di pianificare al meglio il bilancio familiare.

Le nuove tabelle dell’assegno unico luglio 2024

Leggi anche:

Stipendio di luglio 2024, impossibile visualizzare gli importi, NoiPA è in manutenzione

Le assunzioni straordinarie su sostegno 2024 da GPS prima fascia precedono la call veloce?

Segui i canali social di InformazioneScuola

InformazioneScuola, grazie alla sua seria e puntuale informazione è stata selezionata dal servizio di   Google News    per restare sempre aggiornati sulle nostre ultime notizie seguici tramite  GNEWS  andando su questa pagina e cliccando il tasto segui. 

 

Iscriviti al gruppo    Telegram: Contatta @informazionescuola

Iscriviti al gruppo    whatsapp 

Iscriviti alla nostra  pagina Facebook

 

informazione scuola telegram

Informazione Scuola, le Ultime Notizie della Scuola in un click.

POTREBBE INTERESSARTI ANCHE...

altre news