HomeNotizieAssegno unico universale 2024, ecco la fascia ISEE più avvantaggiata

Assegno unico universale 2024, ecco la fascia ISEE più avvantaggiata

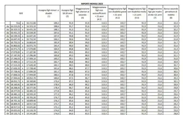
Nuovi importi dell'assegno unico universale 2024 in base all'ISEE

Importi assegno unico universale 2024 ed ISEE – L’INPS ha reso note le tabelle relative l’importo dell’assegno unico universale del 2024. Dalle tabelle, che trovate sul nostro sito in formato pdf, potrete risalire all’importo reale dell’assegno.

Leggi anche: Fascicolo previdenziale INPS online: gestisci la tua posizione contributiva comodamente da casa

L’importo dell’assegno unico universale 2024 è stato rivalutato del 5,4% da gennaio 2024.

Assegno unico universale 2024, la rivalutazione dal mese di febbraio 2024 in base all’ISEE

Come è noto l’importo dell’Assegno Unico e Universale varia in funzione al numero dei figli a carico e alle relative soglie dell’Isee di appartenenza.

A determinare dunque l’importo dell’assegno unico universale è l’ISEE, facciamo un esempio concreto prima di rimandarvi alle tabelle INPS: un Isee fino a 17.090,61 consentirà di percepire un assegno unico di 199,4 euro; mentre con Isee da 17.090,62 a 17.204,55 la somma percepita sarà pari a 198,8 euro; con Isee da 17.204,56 a 17.318,48, somma pari a 198,3 euro.

La variazione, come si evince dagli importi è minima ed è questa la fascia di reddito che percepirà un assegno unico universale più corposo.

Più si sale con la fascia di reddito ISEE di appartenenza e più diminuisce l’importo dell’assegno unico universale 2024.

Chi ha un ISEE pari o superiore a 45.574,96 euro percepirà un importo di 57 euro, lo stesso importo sarà percepito anche da chi non ha presentato alcun ISEE.

Qui trovate le tabelle INPS con tutti gli importi dell’assegno unico universale 2024.

Leggi anche: Bonus mamme lavoratrici 2024: a chi spetta l’esonero contributivo e le soglie massime

Segui i canali social di InformazioneScuola

InformazioneScuola grazie alla sua seria e puntuale informazione è stata selezionata dal servizio di Google News ,  per restare sempre aggiornati sulle nostre ultime notizie seguici tramite GNEWS andando su questa pagina e cliccando il tasto segui. 

Iscriviti al gruppo    Telegram: Contatta @informazionescuola

Iscriviti al gruppo whatsapp 

Iscriviti alla nostra   pagina Facebook  

Seguiteci anche su   Twitter

Seguici anche su  Pinterest

informazione scuola telegram

Informazione Scuola, le Ultime Notizie della Scuola in un click.

POTREBBE INTERESSARTI ANCHE...

altre news