HomeNotizieAssegno unico universale aprile 2024: ecco le nuove tabelle INPS e le...

Assegno unico universale aprile 2024: ecco le nuove tabelle INPS e le soglie ISEE

Pubblichiamo le nuove tabelle dell'assegno universale INPS e le soglie ISEE per richiederlo.

L’Assegno unico ed universale aprile 2024, come è cambiato con la nuova legge di bilancio 2024? Come abbiamo già diverse volte sottolineato, l’importo dell’assegno unico aprile 2024 sarà legato all’andamento dell’inflazione e alle nuove soglie ISEE.

Leggi anche: SBC, per il 2024/25 non sono previste assunzioni su sostegno da GPS prima fascia sostegno

Il nuovo assegno unico ed universale 2024, così come previsto dall’ultima legge di bilancio è legato all’inflazione. Le novità non riguarderanno solo l’importo, cambiano anche le soglie Isee che determinano proporzionalmente l’importo della prestazione.

Assegno unico universale aprile 2024, aumento previsto dalla legge di bilancio

L’aumento dell’ assegno unico universale aprile 2024 sarà dell’5,4%.

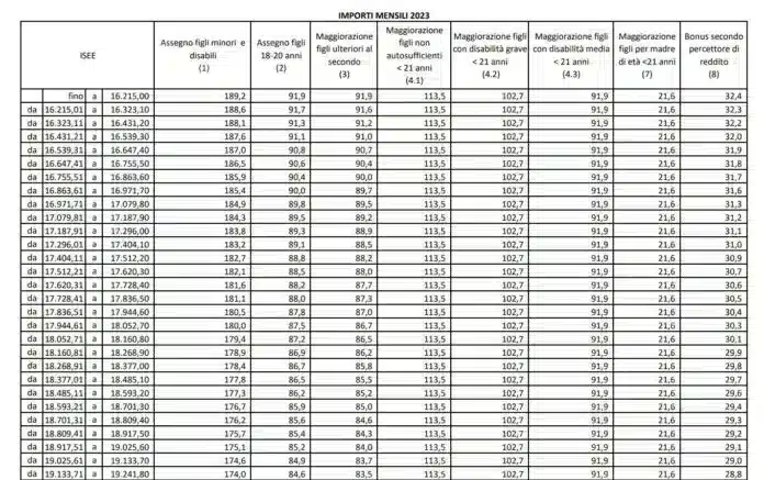
Sottolineiamo che l’importo dell’assegno è di 57 euro per ISEE oltre 45.574,96 euro e l’importo massimo è di 199,4 euro per ISEE fino a 17.090,61 euro per un figlio minore.
I dettagli tuttavia li trovate nella tabella INPS allegata e che potete scaricare.

L’importo minimo dell’assegno unico universale dello scorso anno, il 2023, era di 50 euro per ogni figlio minorenne per chi non aveva presentato l’ISEE, mentre l’importo massimo era di 189 euro per Isee fino a 16.215 euro, per chi aveva un ISEE fino a 43.240 euro percepiva un importo di circa 54 euro.

Leggi anche – SBC: la crescita dei supplenti e la precarizzazione della scuola è nei numeri

Assegno unico universale aprile 2024, tabelle INPS e nuove fasce di reddito

Le tabelle aggiornate dell’INPS aprile 2024 e le fasce di reddito sono scaricabili dal nostro sito nel link che trovate qui di seguito. Ricordiamo però che in molti casi, questo meccanismo garantirà un adeguamento superiore all’5,4%. L’Isee, infatti, è calcolato sulla base della situazione dei due anni precedenti, ed è improbabile che sia aumentato allo stesso ritmo dell’inflazione nel 2023.

Segui i canali social di InformazioneScuola

InformazioneScuola grazie alla sua seria e puntuale informazione è stata selezionata dal servizio di Google News ,  per restare sempre aggiornati sulle nostre ultime notizie seguici tramite GNEWS andando su questa pagina e cliccando il tasto segui. 

Iscriviti al gruppo    Telegram: Contatta @informazionescuola

Iscriviti al gruppo whatsapp 

Iscriviti alla nostra   pagina Facebook  

Seguiteci anche su   Twitter

Seguici anche su  Pinterest

informazione scuola telegram

Informazione Scuola, le Ultime Notizie della Scuola in un click.

POTREBBE INTERESSARTI ANCHE...

altre news