HomeNotizieAssegno unico universale giugno 2023 ecco le nuove tabelle INPS e le...

Assegno unico universale giugno 2023 ecco le nuove tabelle INPS e le nuove soglie ISEE

Pubblichiamo le nuove tabelle dell'assegno universale INPS giugno 2023 INPS e le soglie ISEE per richiederlo. Cosa cambia dopo l'approvazione del decreto Lavoro?

Assegno unico universale giugno 2023 – Come è cambiato  con la nuova legge di bilancio 2023 e con il decreto lavoro? Dipende anche dall’ISEE 2023.

Leggi anche: Cedolino pensione giugno 2023 più ricco , arrivano gli arretrati INPS, la tabella aggiornata  

Più e più volte abbiamo evidenziato che l’importo dell’assegno unico universale di giugno 2023 sarà strettamente legato all’andamento dell’inflazione e le nuove soglie ISEE aggiornate al mese di aprile.

Il nuovo assegno unico universale giugno 2023, così come previsto dall’ultima legge di bilancio 2023 sarà ancorato all’andamento dell’inflazione. L’importo finale potrebbe variare così come prevedono le tabella INPS che trovate allegate nel nostro articolo, in calce.

Come abbiamo sottolineato più volte l’aumento non è dovuto solo alle tabelle INPS 2023 ma dipende anche dall’aggiornamento del modello ISEE 2023.

Assegno unico universale giugno 2023, aumento previsto dalla legge di Bilancio

L’aumento dell’importo dell’assegno unico universale di giugno 2023 dell’8,1%, un aumento in proporzione importante. Ricordiamo ai lettori di InformazioneScuola che attualmente l’importo base è di 175 euro mensili, ma la soglia ISEE per le famiglie è fissata a 15.000 euro. Al di sopra di questo valore, l’importo diminuisce di 0,5 per ogni aumento di 100 euro del valore dell’indicatore.

Quali sono gli importi minimi dell’assegno unico universale giugno 2023?

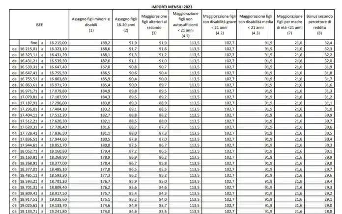
Gli importi minimi dell’assegno unico di giugno 2023 è 50 euro per ogni figlio minorenne per chi non ha un ISEE. Calcolando l’adeguamento inflazionistico, i beneficiari avranno diritto a poco più di 189 euro per chi possiede un ISEE fino a 16.215 euro, mentre la soglia massima salirà fino a 43.240 euro, con un reddito di base universale di circa 54 euro.

Leggi anche: Trasferimenti scuola 2023/24 siamo in dirittura d’arrivo  

Assegno unico universale giugno 2023, tabelle INPS e nuove fasce di reddito: le tabelle aggiornate dell’INPS 2023 e le fasce di reddito sono scaricabili dal nostro sito nel link che trovate qui di seguito. Ricordiamo però che in molti casi, questo meccanismo garantirà un adeguamento superiore all’8,1%. L’Isee, infatti, è calcolato sulla base della situazione dei due anni precedenti, ed è improbabile che sia aumentato allo stesso ritmo dell’inflazione nel 2022.

Scarica le  tabelle aggiornate dell’INPS giugno 2023 e le fasce di reddito.

Consigli ai nostri lettori per essere aggiornati in tempo reale

Prova gratuitamente Kindle e leggi libri gratis per trenta giorni

Libri scontati per prepararsi al concorso straordinario 2023

InformazioneScuola grazie alla sua seria e puntuale informazione è stata selezionata dal servizio di Google News, per restare sempre aggiornati sulle nostre ultime notizie seguici tramite GNEWS andando su questa pagina e cliccando il tasto segui.

 

Iscriviti alla nostra pagina Facebook.

Seguiteci anche su Twitter

informazione scuola telegram

Informazione Scuola, le Ultime Notizie della Scuola in un click.

POTREBBE INTERESSARTI ANCHE...

altre news