HomeNotizieAssegno unico universale INPS ottobre 2023, nuovi importi e le soglie ISEE...

Assegno unico universale INPS ottobre 2023, nuovi importi e le soglie ISEE richieste

Assegno unico universale INPS ottobre 2023, le nuove tabelle con gli importi, ma sono necessarie anche queste soglie ISEE per richiederli

I nuovi importi dell’Assegno Unico Universale ottobre 2023 sono contenute nelle nuove tabelle INPS valide per tutto il 2023.

SCUOLA, FLORIDIA (M5S): VALDITARA INAUGURA ANNO SCOLASTICO IN ER MA DIMEZZA FONDI A SCUOLE ALLUVIONATE

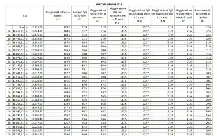
Per calcolare il nuovo importo dell’assegno unico universale basterà consultare le tabelle INPS 2023 allegate all’articolo, il dato che salta subito all’occhio è che gli aumenti sono legati all’inflazione del 2022, ma non è l’unica novità.

L’altra novità importante riguarda l’aggiornamento delle soglie Isee volute dal governo che determinano proporzionalmente l’importo della prestazione, e l’assegno unico di ottobre 2023 lo confermerà

Assegno unico universale INPS ottobre 2023, le nuove soglie ISEE e gli aumenti

Di quanto è aumentato l’assegno unico universale 2023? L’aumento è legato all’inflazione calcolata sull’anno 2022, questo si traduce in un aumento per l’anno in corso è stato dell’8,1%.

Evidenziamo che attualmente l’importo base è di 175 euro mensili, concesso alle famiglie con soglia Isee non superiore a 15.000 euro. Al di sopra di questo valore, l’importo diminuisce di 0,5 per ogni aumento di 100 euro del valore dell’indicatore.

Come è noto, l’importo minimo dell’assegno unico universale settembre 2023 è di 50 euro per ogni figlio minorenne per chi però non ha un ISEE.

La novità derivante dall’ adeguamento inflazionistico permetterà ai beneficiari di percepire 189 euro per Isee fino a 16.215 euro, mentre la soglia massima salirà fino a 43.240 euro, con un reddito di base universale di circa 54 euro.

Come anticipato gli aumenti sono contenuti nella nuova tabella INPS valida per il 2023.
Per facilitare il calcolo dell’importo dell’assegno unico di ottobre 2023, vi invitiamo a scaricare le tabelle INPS 2023 e le nuove fasce di reddito.

Qui le tabelle aggiornate dell’INPS settembre 2023 a conferma di quanto detto. 

Precisiamo però che in molti casi, questo meccanismo garantirà un adeguamento superiore all’8,1%. L’Isee, infatti, è calcolato sulla base della situazione dei due anni precedenti, ed è improbabile che sia aumentato allo stesso ritmo dell’inflazione nel 2022.

SBC: È vergognoso che dei docenti prendano in mano le scope per pulire la scuola dopo lavori di ristrutturazione. È accaduto a Treviglio

informazione scuola telegram

Informazione Scuola, le Ultime Notizie della Scuola in un click.

POTREBBE INTERESSARTI ANCHE...

altre news