HomeNotizieAssegno Unico universale, nuovi importi in vigore dal 1° luglio 2023, le...

Assegno Unico universale, nuovi importi in vigore dal 1° luglio 2023, le tabelle

Assegno unico universale, ecco le nuove tabelle di luglio 2023, le tabelle e la circolare INPS

L’INPS ha pubblicato la nota con i nuovi importi dell’assegno unico universale di luglio 2023. Lo ha fatto con la circolare N. 55 che trovate in calce all’articolo.

Leggi anche: Cedolino pensione luglio 2023 più ricco, finalmente gli arretrati INPS, la tabella aggiornata

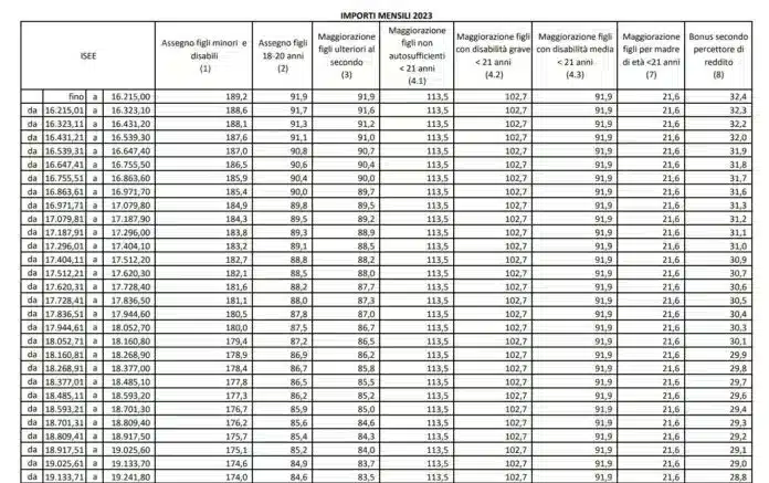
Le tabelle con i nuovi importi sono disponibili sul sito dell’INPS e variano in base al nucleo familiare.

Ricordiamo che i livelli di reddito familiare necessari per beneficiare dell’Assegno Unico Universale vengono rivalutati annualmente, con effetto a partire dal 1° luglio di ogni anno.

La rivalutazione è legata all’inflazione che viene calcolata dall’ISTAT e da luglio 2023 si dovrebbe registrare un aumento dell’8% circa.

Leggi anche: Bonus 382 euro luglio 2023, ecco a chi spetta ma occorre questo ISEE, la tabella

Assegno unico universale, da luglio 2023 viene ricalcolato, ecco le tabelle

La circolare INPS contiene in allegato le tabelle con i nuovi livelli di reddito e i corrispondenti importi mensili dell’Assegno Unico, da applicare dal 1° luglio 2023 al 30 giugno 2024, per le diverse tipologie di nuclei familiari.

La circolare INPS relativa gli aumenti dell’assegno unico universale luglio 2023.

Prova gratuitamente Kindle e leggi libri gratis per trenta giorni

InformazioneScuola grazie alla sua seria e puntuale informazione è stata selezionata dal servizio di Google News, per restare sempre aggiornati sulle nostre ultime notizie seguici tramite GNEWS andando su questa pagina e cliccando il tasto segui.

 

Iscriviti alla nostra pagina Facebook.

Seguiteci anche su Twitter

informazione scuola telegram

Informazione Scuola, le Ultime Notizie della Scuola in un click.

POTREBBE INTERESSARTI ANCHE...

altre news