HomeNotizieAssegno unico universale ottobre 2023 e nuovi importi per i figli a...

Assegno unico universale ottobre 2023 e nuovi importi per i figli a carico: le tabelle INPS e le nuove soglie ISEE

L’assegno unico universale di ottobre 2023 per i figli a carico. Ecco le nuove tabelle INPS 2023 e le nuove soglie ISEE per quantificare gli aumenti

I nuovi importi dell’Assegno Unico Universale ottobre 2023 per i figli a carico, come sono cambiati con il varo della nuova legge di Bilancio 2023.

SBC – La scuola primavera la risposta per contrastare abbandoni, dispersione e disagio sociale

Gli importi aumentano per quasi tutti.

Sul nostro portale più volte abbiamo evidenziato come l’assegno unico universale 2023 sia cambiato dopo il vado della legge di Bilancio 2023.

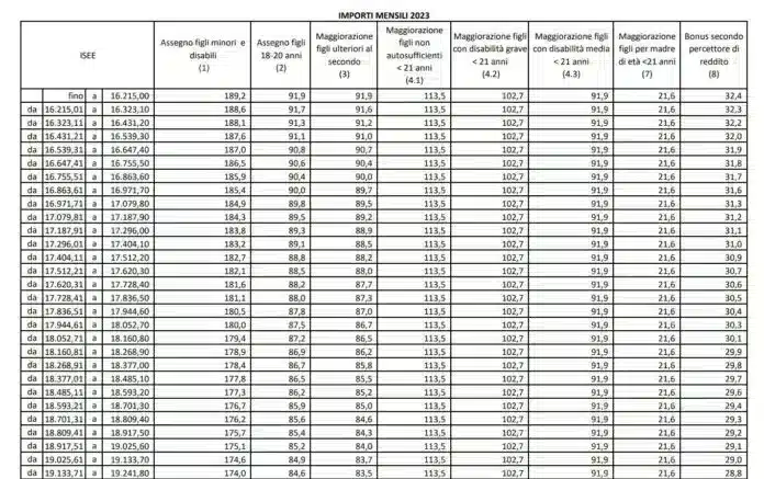
La rata di ottobre 2023 ne è la dimostrazione, l’importo dell’assegno unico universale, lo noterete dalle tabelle INPS 2023 allegate in calce all’articolo. Gli aumenti degli importi sono legati all’inflazione, ma non si tratta dell’unica novità, un ruolo importante lo ha anche l’ISEE.

Assegno unico universale ottobre 2023, nuove soglie ISEE e importi introdotti dalla legge di bilancio

Di quanto è aumentato, dopo il varo della legge di Bilancio, l’assegno unico universale 2023? L’aumento – più volte scritto – è legato all’inflazione calcolata sull’anno solare 2022, questo si traduce in un aumento dell’assegno unico di ottobre 2023 dell’8,1%, rispetto allo stesso mese dell’anno precedente.
I beneficiari sanno che l’importo base è di 175 euro mensili, tale cifra è concessa alle famiglie con soglia Isee non superiore a 15.000 euro. Al di sopra di 15mila euro, l’importo diminuisce di 0,5 per ogni aumento di 100 euro del valore dell’indicatore, vedasi tabella INPS.
Come è noto, l’importo minimo dell’assegno unico universale 2023 è di 50 euro per ogni figlio minorenne per chi però non ha un ISEE. La novità derivante dall’ adeguamento inflazionistico permetterà ai beneficiari di percepire 189 euro per Isee fino a 16.215 euro, mentre la soglia massima salirà fino a 43.240 euro, con un reddito di base universale di circa 54 euro.

Assegno unico universale ottobre 2023, tabelle INPS 2023 e nuove fasce di reddito

Precisiamo però che in molti casi, questo meccanismo garantirà un adeguamento dell’assegno unico universale 2023 superiore all’8,1%. L’Isee, infatti, è calcolato sulla base della situazione dei due anni precedenti, ed è improbabile che sia aumentato allo stesso ritmo dell’inflazione nel 2022.

Le tabelle aggiornate dell’INPS ottobre  2023 a conferma di quanto detto, invitiamo i lettori a scaricare dal nostro sito le nuove fasce di reddito INPS aggiornate al 2023.

Scuola e Investimenti: Il Messaggio di Floridia del M5S

InformazioneScuola  grazie alla sua seria e puntuale informazione è stata selezionata dal servizio di  Google News , per restare sempre aggiornati sulle nostre ultime notizie seguici tramite GNEWS andando su questa pagina e cliccando il tasto segui.

Iscriviti al gruppo   Telegram: Contact @informazionescuola

 

Iscriviti alla nostra  pagina Facebook .

Seguiteci anche su  Twitter

informazione scuola telegram

Informazione Scuola, le Ultime Notizie della Scuola in un click.

POTREBBE INTERESSARTI ANCHE...

altre news