Con l’avvicinarsi del pagamento dell’assegno unico di ottobre, previsto per lunedì 20 ottobre 2025 (con possibile anticipo al 19 ottobre), molte famiglie si interrogano su un’ipotetica rivalutazione degli importi. Tuttavia, è importante fare chiarezza: non ci saranno aumenti automatici questo mese.
Recentemente, alcune notizie poco affidabili, diffuse anche da fonti ritenute autorevoli, hanno alimentato false speranze tra i genitori. Queste informazioni, prive di verifiche accurate, hanno contribuito a creare confusione su un tema delicato come il sostegno economico alle famiglie.
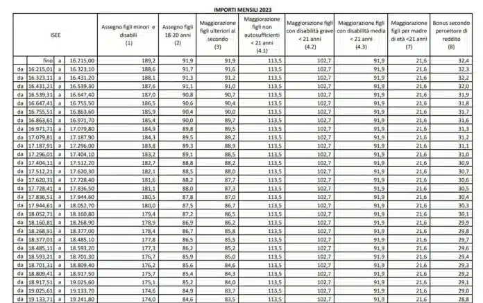
In realtà, ottobre non porta alcuna rivalutazione. Gli importi resteranno invariati, mentre i dati Istat sull’inflazione, pubblicati in questo periodo, serviranno a calcolare le nuove soglie valide dal 1° gennaio 2026. Si ipotizza un aumento dell’1,6–1,7% per il prossimo anno, ma si tratta solo di stime da confermare.
Eventuali variazioni sugli importi di ottobre riguarderanno esclusivamente situazioni familiari specifiche, come la perdita di maggiorazioni legate all’età dei figli o alla cessazione di una disabilità riconosciuta. È fondamentale affidarsi a fonti ufficiali per evitare disinformazione e aspettative infondate.
Leggi anche:
Bonus Formazione per Assistenti Tecnici e Amministrativi: Una Nuova Prospettiva?
NASpI e Carta Dedicata a Te: importanti novità ad ottobre 2025 e scadenze per i beneficiari
Segui i canali social di InformazioneScuola
Iscriviti al gruppo Telegram: Contatta @informazionescuola


