HomeNotizieNuovi importi dell’Assegno unico universale gennaio 2024, tradite le famiglie?

Nuovi importi dell’Assegno unico universale gennaio 2024, tradite le famiglie?

Assegno unico universale 2024, il governo dimezza le risorse per le famiglie?

L’assegno unico universale gennaio 2024 porterà con sé un’importante novità, l’INPS, tuttavia, non ha ancora pubblicato le tabelle sulla rivalutazione dell’Assegno unico universale 2024 poiché attende il via libera da parte del governo e le risorse.

SBC: il piano di reclutamento per il futuro, allontana dall’insegnamento.

Le faglie dunque attendono di capire come cambieranno gli importi a Gennaio 2024, ammesso e concesso che il governo riesca a stanziare le risorse per tempo.
In caso contrario saranno poi pagati gli arretrati con l’assegno unico di febbraio 2024.

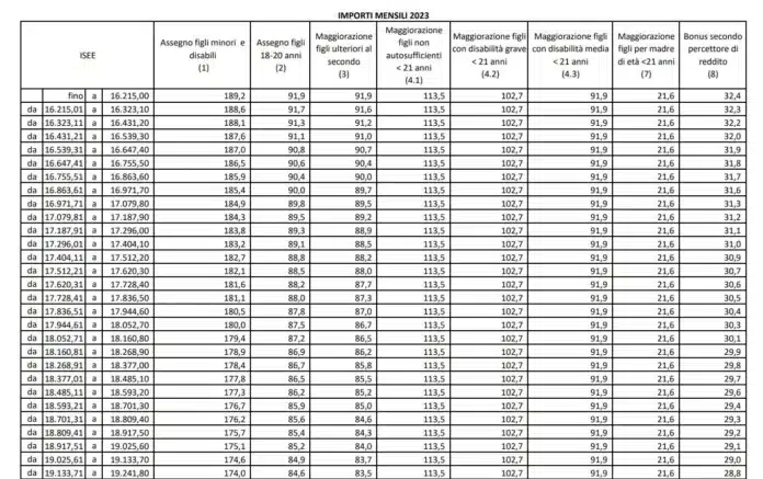
Assegno unico universale gennaio 2024, i nuovi importi

Le famiglie attendono la rivalutazione dell’assegno unico universale da gennaio 2024, ma dalle ultime notizie raccolte sembra che le risorse messe a disposizione dal governo Meloni siano state dimezzate.

Ricordiamo che il tasso di rivalutazione media dovrebbe essere del 5,4% mentre se le indiscrezioni raccolte saranno confermate l’aumento sarà solo del 2%.

Nei prossimi giorni ne sapremo di più, intanto cresce l’attesa e soprattutto non è chiaro se il governo riuscirà a rispettare la tempistica e accreditare il nuovo importo dell’assegno unico di gennaio 2024 già al primo mese del nuovo anno.

Come ottimizzare le verifiche scolastiche per ogni studente

Segui i canali social di InformazioneScuola

InformazioneScuola grazie alla sua seria e puntuale informazione è stata selezionata dal servizio di Google News ,  per restare sempre aggiornati sulle nostre ultime notizie seguici tramite GNEWS andando su questa pagina e cliccando il tasto segui. 

Iscriviti al gruppo    Telegram: Contatta @informazionescuola

Iscriviti al gruppo whatsapp 

Iscriviti alla nostra   pagina Facebook  

Seguiteci anche su   Twitter

Seguici anche su  Pinterest

informazione scuola telegram

Informazione Scuola, le Ultime Notizie della Scuola in un click.

POTREBBE INTERESSARTI ANCHE...

altre news