HomeNotizieAssegno unico marzo 2024 dimezzato, il motivo è solo uno

Assegno unico marzo 2024 dimezzato, il motivo è solo uno

Dimezzato l'importo dell'assegno unico universale, ecco il motivo

L’assegno unico marzo 2024 è stato dimezzato, l’importo dunque non è quello atteso, in alcuni casi addirittura è meno della metà. In particolare per il personale della scuola.
Ma quali sono le cause di questo pesante taglio? La causa è l’ISEE.

Chi ha superato la soglia prevista si è visto tagliare l’importo dell’assegno unico di marzo 2024.

Leggi anche: Entro il 13 aprile sarà possibile revocare le domande di mobilità 2024/25

Complice, per il personale della scuola, anche il rinnovo del contratto e gli arretrati ricevuti, sembra una beffa ma non lo è.
Da un lato il governo ha rinnovato il contratto, dall’altro se li è ripresi in alcuni casi con gli interessi.

Del resto c’era il sentore che cambiando l’ISEE sarebbe cambiato anche l’importo dell’assegno unico universale marzo 2024.

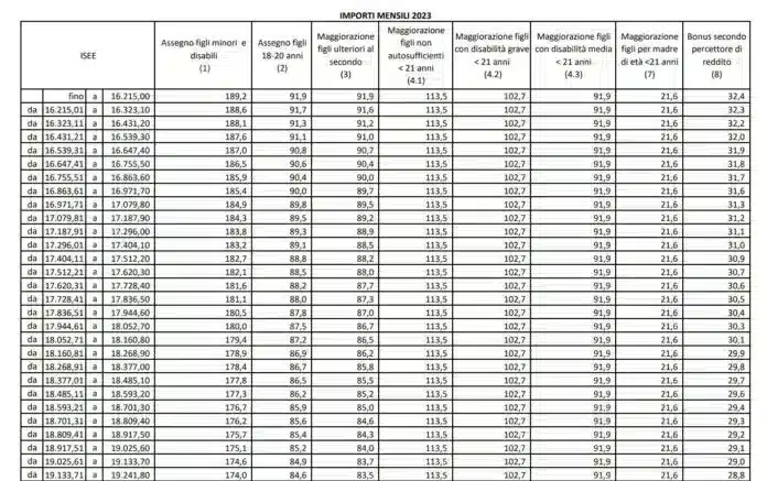
ISEE e importo dell’assegno unico marzo 2024

Va anche detto che se l’Indicatore della Situazione Economica Equivalente diminuisce aumenta anche l’importo dell’assegno unico.

Ma per il personale della scuola non si tratta dell’unica beffa, se si scavalca di un solo centesimo (ed è già successo a molti) la fascia IRPEF interviene subito l’aliquota dello scaglione superiore con con una percentuale di trattenute ben più alta.

E’ proprio questo uno dei motivi cha ha lasciato l’amaro in bocca i lavoratori della scuola che avevano tanta fiducia in questo governo e che via via la stanno perdendo.

Leggi anche: Scuola in prima linea contro la “droga degli zombi”: via al piano educativo per prevenire i pericoli del fentanyl

Segui i canali social di InformazioneScuola

InformazioneScuola grazie alla sua seria e puntuale informazione è stata selezionata dal servizio di   Google News  ,     per restare sempre aggiornati sulle nostre ultime notizie seguici tramite  GNEWS  andando su questa pagina e cliccando il tasto segui. 

 

Iscriviti al gruppo    Telegram: Contatta @informazionescuola

Iscriviti al gruppo    whatsapp 

Iscriviti alla nostra  pagina Facebook 

informazione scuola telegram

Informazione Scuola, le Ultime Notizie della Scuola in un click.

POTREBBE INTERESSARTI ANCHE...

altre news