HomeNotizieAssegno unico universale aprile 2024, nuovi importi e calendario di accredito

Assegno unico universale aprile 2024, nuovi importi e calendario di accredito

Assegno unico universale 2024, cattive notizie: ad aprile sarà più basso rispetto a marzo. Ecco quando verrà pagato.

L’assegno unico universale di aprile 2024 destinato alle famiglie con figli a carico sarà più basso rispetto all’assegno di marzo 2024.

Leggi anche: Giornata mondiale della consapevolezza sull’autismo, ecco i dati dell’ISTAT

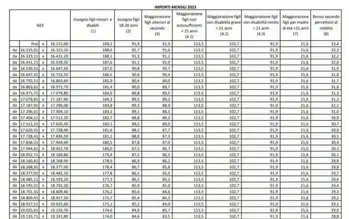
I motivi di tale taglio li riassumiamo qui di seguito: il mese di gennaio 2024 l’importo dell’Assegno unico è stato calcolato in base all’Isee del 2023 e con la tabella in vigore nello stesso anno. Non c’è stata quindi alcuna variazione rispetto al mese di dicembre.

Le cose cambiano invece a febbraio 2024 perché è stata utilizzata la nuova tabella del 2024, quella con gli importi (e le soglie Isee) rivalutati in base all’inflazione, ma l’ISEE preso in considerazione è rimasto sempre quello dello scorso anno, ovvero l’ISEE del 2023.

A marzo 2024 c’è stato un ulteriore cambiamento, per la prima volta è stato utilizzato l’ISEE del 2024, quindi rispetto al mese precedente c’è stato un aumento o un taglio in base alla differenza tra le due attestazioni. Inoltre, sulla mensilità di marzo è stata effettuata anche il conguaglio della rivalutazione.

Assegno unico aprile 2024, ecco i nuovi importi con i tagli

Ad aprile 2024, invece, la mensilità viene calcolata sull’Isee dell’anno in corso e sulla nuova tabella aggiornata ne consegue che l’importo spettante è quello a regime e non ci saranno ulteriori variazioni almeno fino al prossimo dicembre 2024. L’importo quindi sarà lo stesso di quello di marzo, con la differenza che non c’è il conguaglio.

E’ più basso rispetto all’assegno unico universale di marzo perchè viene a mancare l’arretrato.

Calendario pagamento dell’assegno unico di aprile 2024?

Le date di pagamento dell’assegno unico universale del mese di aprile 2024 sono le seguenti: mercoledì 17 aprile, giovedì 18 aprile, venerdì 19 aprile.
L’ultima data, quella del 29 aprile, è destinata a coloro i quali hanno fatto domanda a marzo, o comunque nell’ultimo mese modificato hanno l’Isee oppure hanno aggiunto un figlio alla richiesta già in essere, il pagamento quindi slitta all’ultima settimana del mese, tra lunedì 29 aprile e venerdì 3 maggio.

Leggi anche: Candidati come commissario esterno d’Esame 2024, ecco la guida

Segui i canali social di InformazioneScuola

InformazioneScuola grazie alla sua seria e puntuale informazione è stata selezionata dal servizio di   Google News  ,     per restare sempre aggiornati sulle nostre ultime notizie seguici tramite  GNEWS  andando su questa pagina e cliccando il tasto segui. 

 

Iscriviti al gruppo    Telegram: Contatta @informazionescuola

Iscriviti al gruppo    whatsapp 

Iscriviti alla nostra  pagina Facebook 

informazione scuola telegram

Informazione Scuola, le Ultime Notizie della Scuola in un click.

POTREBBE INTERESSARTI ANCHE...

altre news