HomeNotizieAssegno unico universale febbraio 2024, nuovi importi e le date di pagamento

Assegno unico universale febbraio 2024, nuovi importi e le date di pagamento

Calendario erogazione dell'assegno unico universale 2024

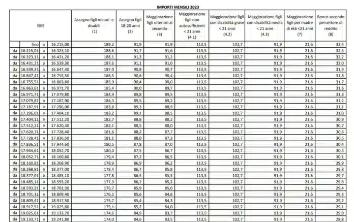
L’assegno unico universale febbraio 2024 è in elaborazione. I nuovi importi sono stati comunicati dall’INPS e saranno calibrati in base all’ISEE (Indicatore Situazione Economica Equivalente).

Il calendario dei pagamenti di febbraio 2024, come ha già annunciato l’INPS (l’Istituto di Previdenza Sociale) ha subito una variazione. Ricordiamo che ad averne diritto sono le famiglie con figli a carico.

Modifiche calendario fiscale 2024, possibile proroga per i CU e rottamazione-quater

Assegno unico universale febbraio 2024, le nuove date comunicate dall’INPS

L’assegno unico universale febbraio 2024, stando all’ultima comunicazione dell’Istituto Nazionale di Previdenza Sociale, il calendario dell’accredito dell’assegno a febbraio 2024 sarà: il 16, 19 e il 20.

Per determinare l’importo dell’assegno unico universale febbraio 2024 in base all’ISEE familiare, è necessaria una nuova Dichiarazione Sostitutiva Unica per il 2024.

In assenza di ISEE, gli importi saranno calcolati sugli importi minimi dal mese di marzo. Presentando la DSU entro il 30 giugno, gli arretrati saranno versati da marzo.

Segui i canali social di InformazioneScuola

InformazioneScuola grazie alla sua seria e puntuale informazione è stata selezionata dal servizio di Google News ,  per restare sempre aggiornati sulle nostre ultime notizie seguici tramite GNEWS andando su questa pagina e cliccando il tasto segui. 

Iscriviti al gruppo    Telegram: Contatta @informazionescuola

Iscriviti al gruppo whatsapp 

Iscriviti alla nostra   pagina Facebook  

Seguiteci anche su   Twitter

Seguici anche su  Pinterest

 

 

 

 

informazione scuola telegram

Informazione Scuola, le Ultime Notizie della Scuola in un click.

POTREBBE INTERESSARTI ANCHE...

altre news