HomeNotizieAssegno unico universale luglio 2023: le tabelle INPS e le nuove soglie...

Assegno unico universale luglio 2023: le tabelle INPS e le nuove soglie ISEE

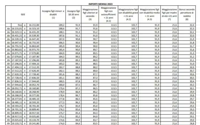
Pubblichiamo le nuove tabelle dell'assegno universale INPS luglio 2023 e le soglie ISEE necessarie per richiederlo

Com’è cambiato l’Assegno Unico ed Universale 2023 dopo il varo della nuova legge di Bilancio 2023? Come vi abbiamo già riportato nei nostri articoli l’Assegno Unico Universale 2023 sarà legato all’andamento dell’inflazione e alle nuove soglie ISEE.

Leggi anche: Carta del docente ai precari, va richiesta prima che vada in prescrizione  

Le novità non riguarderanno solo l’importo, cambiano anche le soglie Isee che determinano proporzionalmente l’importo della prestazione, e l’assegno unico di luglio 2023 lo confermerà.

Assegno unico universale luglio 2023, aumento previsto dalla legge di bilancio

Di quanto è aumentato l’assegno unico universale 2023? L’aumento è stato dell’8,1%, proprio perché legato all’inflazione.

Sottolineiamo che attualmente l’importo base è di 175 euro mensili, concesso alle famiglie con soglia Isee non superiore a 15.000 euro. Al di sopra di questo valore, l’importo diminuisce di 0,5 per ogni aumento di 100 euro del valore dell’indicatore.

L’importo minimo dell’assegno unico universale è di 50 euro per ogni figlio minorenne per chi però non ha un ISEE. Con il nuovo adeguamento inflazionistico, i beneficiari avranno diritto a poco più di 189 euro per Isee fino a 16.215 euro, mentre la soglia massima salirà fino a 43.240 euro, con un reddito di base universale di circa 54 euro.

Leggi anche: Assegno unico universale luglio 2023, arriva il ricalcolo degli importi, la tabella aggiornata  

Assegno unico universale luglio 2023, tabelle INPS e nuove fasce di reddito

Le tabelle aggiornate dell’INPS luglio 2023 a conferma di quanto detto, invitiamo tutti a scaricare dal nostro sito le nuove fasce di reddito INPS aggiornate al 2023. Ricordiamo però che in molti casi, questo meccanismo garantirà un adeguamento superiore all’8,1%. L’Isee, infatti, è calcolato sulla base della situazione dei due anni precedenti, ed è improbabile che sia aumentato allo stesso ritmo dell’inflazione nel 2022.

Prova gratuitamente Kindle e leggi libri gratis per trenta giorni

InformazioneScuola grazie alla sua seria e puntuale informazione è stata selezionata dal servizio di Google News, per restare sempre aggiornati sulle nostre ultime notizie seguici tramite GNEWS andando su questa pagina e cliccando il tasto segui.

 

Iscriviti alla nostra pagina Facebook.

Seguiteci anche su Twitter

informazione scuola telegram

Informazione Scuola, le Ultime Notizie della Scuola in un click.

POTREBBE INTERESSARTI ANCHE...

altre news