HomeNotizieAumento dell'assegno unico universale giugno 2023, le nuove tabelle INPS

Aumento dell’assegno unico universale giugno 2023, le nuove tabelle INPS

Assegno unico universale di giugno 2023 più ricco, ecco le nuove tabelle INPS

Giugno 2023 porta importanti novità per l’assegno unico universale INPS, come è noto si tratta del sostegno economico destinato alle famiglie con figli a carico.

Leggi anche: Assegno unico universale giugno 2023, le date di pagamento INPS e i nuovi importi aggiornati in base all’ISEE, la tabella  

L’INPS ha comunicato che a partire da giugno 2023 ci sarà un aumento dell’importo dell’assegno. Ma come funziona esattamente questo beneficio e quali sono i requisiti per ottenerlo?

Pagamenti dell’assegno unico universale giugno 2023

Di norma, l’assegno unico universale viene erogato mensilmente tra il 18 e il 19 del mese per i beneficiari del 2022 e per le famiglie che hanno presentato la domanda entro febbraio. Per le richieste effettuate a partire da marzo, i pagamenti slittano a fine mese. Lo stesso vale per i percettori del reddito di cittadinanza, che ricevono l’assegno direttamente sulla propria card tramite la quota di integrazione.

Aumento dell’assegno unico universale a partire da giugno 2023, a chi spetta? Le tabelle INPS

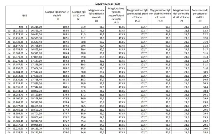
A partire dai pagamenti dell’assegno unico di giugno 2023, è previsto un aumento dell’importo. Questa maggiorazione spetta ai nuclei familiari in cui entrambi i genitori sono dipendenti, e l’ammontare varia in base all’indicatore della situazione economica equivalente (ISEE). È importante sottolineare che i requisiti per ottenere l’aumento sono stati ampliati, e ora spetta anche ai nuclei con un solo genitore rimasto vedovo, come stabilito dal Decreto Legge 48/2023 pubblicato in Gazzetta Ufficiale.

Scarica le  tabelle aggiornate dell’INPS giugno 2023 e le fasce di reddito.

Nel dettaglio, l’assegno unico per i figli a carico viene maggiorato per un periodo di 5 anni nel caso in cui uno dei due genitori sia deceduto nell’anno di competenza in cui viene riconosciuto il sostegno economico. L’aumento dell’assegno viene applicato automaticamente nel caso in cui il genitore richiedente sia l’unico lavoratore al momento della presentazione della domanda, e fino al limite di godimento dell’assegno unico stesso.

Esclusioni dall’aumento dell’assegno unico INPS, le tabelle

Tuttavia, nel caso in cui l’assegno unico venga richiesto senza l’ISEE, non viene applicato l’aumento previsto per i nuclei in cui entrambi i genitori lavorano come dipendenti. In questo caso, l’importo erogato per ciascun figlio rimane quello minimo di 54,10 euro (con arrotondamento).

Leggi anche: Pensioni cedolino giugno 2023 INPS date di accredito, arretrati ed aumenti  

È importante ricordare che con l’aggiornamento del 2023, l’importo massimo spettante è salito a 189,2 euro al netto di eventuali maggiorazioni e casi particolari.

Consigli ai nostri lettori per essere aggiornati in tempo reale

Prova gratuitamente Kindle e leggi libri gratis per trenta giorni

InformazioneScuola grazie alla sua seria e puntuale informazione è stata selezionata dal servizio di Google News, per restare sempre aggiornati sulle nostre ultime notizie seguici tramite GNEWS andando su questa pagina e cliccando il tasto segui.

 

Iscriviti alla nostra pagina Facebook.

Seguiteci anche su Twitter

informazione scuola telegram

Informazione Scuola, le Ultime Notizie della Scuola in un click.

POTREBBE INTERESSARTI ANCHE...

altre news