HomeNotizieAssegno unico universale agosto 2023: le tabelle INPS e le nuove soglie...

Assegno unico universale agosto 2023: le tabelle INPS e le nuove soglie ISEE

Ecco le nuove tabelle dell'assegno universale INPS agosto 2023 e le nuove soglie ISEE per richiederlo

Assegno Unico Universale agosto 2023, com’è cambiato l’Assegno Unico ed Universale dopo il varo della nuova legge di Bilancio 2023?

Sulle nostre pagine abbiamo già riportato le novità relative l’assegno unico universale agosto 2023 dopo il varo della legge di Bilancio.

Leggi anche: Bonus 200 euro agosto 2023 e il limite ISEE, la tabella

Ricordiamo che l’assegno sarà legato all’andamento dell’inflazione e alle nuove soglie ISEE.
Le novità dell’assegno unico universale agosto 2023 non riguarderanno solo l’importo, cambiano anche le soglie Isee che determinano proporzionalmente l’importo della prestazione, e l’assegno unico di luglio 2023 lo confermerà

Assegno unico universale agosto 2023, l’aumento previsto dalla legge di bilancio

Di quanto è aumentato l’assegno unico universale 2023? L’aumento è legato all’inflazione e quindi per l’anno in corso è stato dell’8,1%.

Sottolineiamo che attualmente l’importo base è di 175 euro mensili, concesso alle famiglie con soglia Isee non superiore a 15.000 euro. Al di sopra di questo valore, l’importo diminuisce di 0,5 per ogni aumento di 100 euro del valore dell’indicatore.

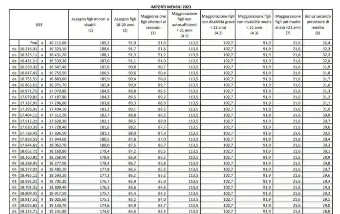
Come è noto, l’importo minimo dell’assegno unico universale 2023 è di 50 euro per ogni figlio minorenne per chi però non ha un ISEE. La novità derivante dall’ adeguamento inflazionistico permetterà ai beneficiari di percepire 189 euro per Isee fino a 16.215 euro, mentre la soglia massima salirà fino a 43.240 euro, con un reddito di base universale di circa 54 euro.

Assegno unico universale agosto 2023, tabelle INPS e nuove fasce di reddito

Le tabelle aggiornate dell’INPS agosto 2023 (https://www.informazionescuola.it/wp-content/uploads/2023/02/tabelle-aggiornate-2023-in-pdf-scaricale.pdf) a conferma di quanto detto, invitiamo i lettori a scaricare dal nostro sito le nuove fasce di reddito INPS aggiornate al 2023.

Leggi anche: Carta del docente ai precari, va richiesta prima che vada in prescrizione  

Precisiamo però che in molti casi, questo meccanismo garantirà un adeguamento superiore all’8,1%. L’Isee, infatti, è calcolato sulla base della situazione dei due anni precedenti, ed è improbabile che sia aumentato allo stesso ritmo dell’inflazione nel 2022.

InformazioneScuola grazie alla sua seria e puntuale informazione è stata selezionata dal servizio di Google News, per restare sempre aggiornati sulle nostre ultime notizie seguici tramite GNEWS andando su questa pagina e cliccando il tasto segui.

 

Iscriviti alla nostra pagina Facebook.

Seguiteci anche su Twitter

informazione scuola telegram

Informazione Scuola, le Ultime Notizie della Scuola in un click.

POTREBBE INTERESSARTI ANCHE...

altre news