L’assegno unico universale 2024 rispetto a quello del 2023 è cambiato, è aumentato per compensare l’inflazione prevista nel 2024.
L’aumento dell’importo è stabilito dalla legge di Bilancio 2024 che prevede lo stanziamento delle risorse necessarie.
Leggi anche: Assegno unico universale aprile 2024, nuovi importi e calendario di accredito
Come abbiamo già evidenziato l’importo sarà legato all’andamento dell’inflazione e alle nuove soglie ISEE 2024, il modello della situazione economica equivalente è possibile aggiornarlo se la propria situazione è mutata.
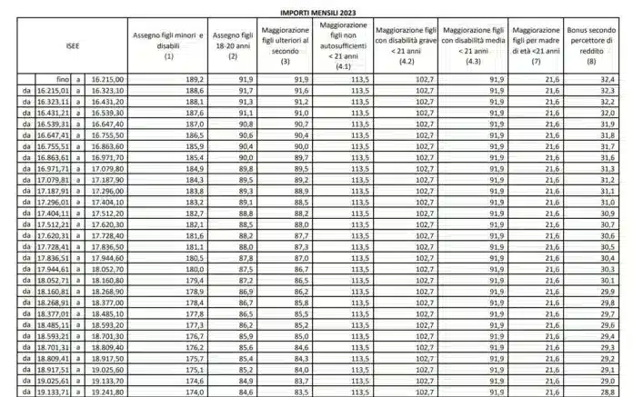
Il nuovo assegno unico ed universale 2024, così come previsto dall’ultima legge di bilancio sarà legato all’andamento dell’inflazione, quindi l’importo finale potrebbe variare così come prevedono le tabella INPS che abbiamo già pubblicato e che riportiamo ancora.
Come abbiamo già scritto, le novità, tuttavia, non riguarderanno solo l’importo, cambiano anche le soglie Isee 2024 che determinano proporzionalmente l’importo della prestazione.
Assegno unico universale aprile 2024, aumento previsto dalla legge di bilancio
L’aumento dell’ assegno unico universale aprile 2024 sarà dell’5,4%. Ricordiamo ai lettori di InformazioneScuola che attualmente l’importo base è di 199,4 euro mensili, ma la soglia ISEE per le famiglie è fissata a 15.000 euro. Al di sopra di questo valore, l’importo diminuisce di 0,5 per ogni aumento di 100 euro del valore dell’indicatore.
Quali sono gli importi minimi dell’assegno unico universale 2024?
L’importo minimo accreditato è di minimo di 57 euro per ogni figlio minorenne per chi non ha un ISEE. Con il nuovo adeguamento inflazionistico, i beneficiari avranno diritto a poco più di 199,4 euro per ISEE fino a 17.090,61 euro, mentre la soglia massima salirà fino a 45.574,96 euro, con un reddito di base universale di circa 54 euro.
Assegno unico universale aprile 2024, tabelle INPS e nuove fasce di reddito: le tabelle aggiornate dell’INPS marzo 2024 e le fasce di reddito sono scaricabili dal nostro sito nel link che trovate qui di seguito.
Ricordiamo però che in molti casi, questo meccanismo garantirà un adeguamento superiore all’5,4%. L’Isee, infatti, è calcolato sulla base della situazione dei due anni precedenti, ed è improbabile che sia aumentato allo stesso ritmo dell’inflazione nel 2023.
Scarica Le tabelle aggiornate dell’INPS aprile 2024 e le fasce di reddito.
Leggi anche: Come cambiano le graduatorie GPS 2024: addio alla MAD, ora c’è l’interpello
Segui i canali social di InformazioneScuola
Iscriviti al gruppo Telegram: Contatta @informazionescuola
Iscriviti al gruppo whatsapp
Iscriviti alla nostra pagina Facebook


